This was definitely one of the best weeks I’ve had on KA in a LONG time. 😭 I FINALLY made it through the Integrating Multivariable Functions unit test which I didn’t even find that difficult after having gone back and reviewed all the articles from this unit over the past few weeks. That said, there were a number of questions where I didn’t really know what was going on but I was able to reason my way through them and, most of the time, get to the correct solution. After finishing off the unit test, I got started on the Multivariable Calculus Course Challenge and, by the end of the week, made it to the tenth question without getting anything wrong! Eight or nine of the questions were all the same type of questions that came up on the unit test, so I had the processes to solve them fresh in my memory… BUT, nonetheless, I was still happy to get ten correct in a row on my first attempt. So, all in all, it was one of the best weeks I’ve had on KA in a LONG time, and I’m now ONE. TEST. AWAY. FROM BEING DONE. 😭😭😭
Here are nine questions I worked through from the unit test:
Multivariable Calculus – Unit 4 – Unit Test – Integrating Multivariable Functions
Question 1





As you can see, this was just a standard triple integral. At this point, I’m glad to say that I find these questions pretty easy having memorized how to integrate partial derivatives. As I was working through it, halfway through I remembered that I’d done this exact question before and even though it wasn’t “hard”, you can see that there are approximately 4,152 little steps you need to do where it’s pretty easy to make a careless mistake. (Or it is for me, anyways…)
Question 2




I didn’t really know what I was doing when I was working through this question. I was a bit confused that there was no function f(x, y, z) to put T(u, v) into, but in KA’s answer it says that because you’re finding surface area using a surface integral, you set f(x, y, z) = 1. I didn’t know what to do, but I just assumed I needed to find the cross product of Tu X Tv which turned out to be correct. The silver lining is that I could/can visualize T being a flat surface that’s being transformed into a curved surface and that Tu X Tv would give me tiny, tiny changes in the du vectors and dv vectors on T which would be little parallelograms on S and the sum of them would be the surface area of S. So, I had that going for me which was nice.
Question 3



Not much to say on this one other than that it’s clearly just your standard double integral.
Question 4




Again, no clue what I was doing on this question but managed to get it correct. To start, I wrote everything down and then assumed I needed to find the determinant of the partial derivatives of the new variables X1 and X2 with respect to u and v (i.e. the Jacobian) which turned out to be correct. Then, I vaguely remembered that I needed to simply input X1 and X2 in for x and y in the integrand, respectively, and simplify. I did everything I just mentioned but, to be fair, I then Googled “change of variables” afterwards to check the formula. I found an image that made me think that I’d done it properly so I went with my answer and got it correct.
Question 5


I got this question wrong and was pretty upset out about it. (As you can see from the screenshot, I was on the 13th question. 🤬) I knew that when switching from (dx dy dz) to (dp dθ dΦ) that I’d needed to add a p2sin(Φ), but I thought that the answer was (x + 2, y – 4, z – 1) since in my mind that would “centre’ the integral. (I don’t think that makes sense but I don’t know how to explain it. A long time ago, KA would give me questions where a function would cross the x-axis at x = 2, so the function would include (x – 2) which would “shift” function over to the x-intercept. So, that’s why I thought the answer was (x + 2, y – 4, z – 1) and not (x – 2, y + 4, z + 1). Again, that probably doesn’t make sense…)
Question 6




I cheated on this question using Symbolab. 😔 I would have gotten it wrong if I hadn’t double check SL as on the second last step, I said 9(3) = 81 which, in case you’re wondering, is not true. It seems a bit ridiculous that there are ~500 steps and if you get 1/500 wrong you get the entire question wrong. (Well, I guess it’s not ridiculous… It actually makes sense. BUT, it’s pretty annoying. 😠)
Question 7



I found this question pretty simple now having reviewed all the articles from this unit over the past few weeks. Still, it’s very satisfying that I can do them now without any trouble. It’s nice that I actually know what the question is asking — it’s the ‘find the surface area of a curvy fence’ metaphor — based on the question saying “’f’ is a SCALER field” and not a vector field (which would be the ‘wind pushing a cart on a path’ metaphor).
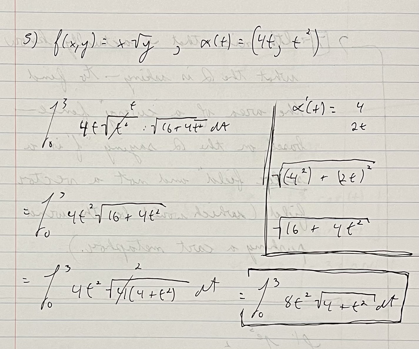
Question 8



Once again, I had no idea what I was doing on this question. (I should mention that there were PLENTY of questions that I did that I knew exactly what I was doing, but those questions didn’t seem like they were worth adding.) I sort of knew that I needed to find |Tu X Tv| but didn’t remember that you simply throw Tu X Tv into a double integral afterwards. I decided to just that for funsies and the solution I got was one of the options, so I crossed my fingers, chose that as my answer, and got it correct.
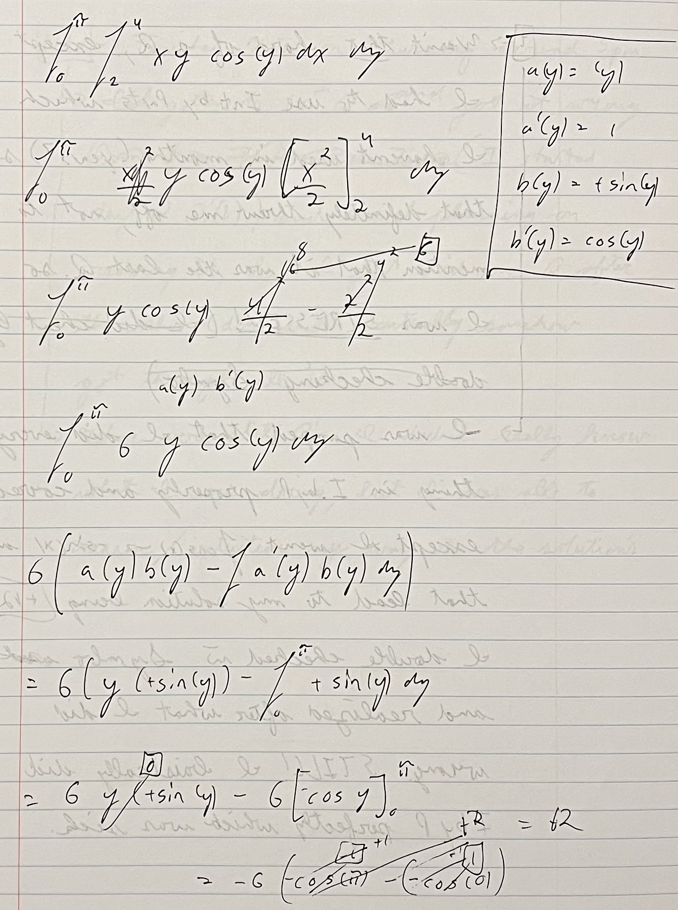
Question 9



This wasn’t that hard of a question, except that I had to use integration by parts which I hadn’t used in months (or maybe years?) so that definitely threw me off. Not to mention that this was the LAST question on the test so I was a bit stressed, to say the least. I was pumped that I did everything correct using integration by parts. The only mistake I made was that I integrated cos(x) to –sin(x) which led to my answer being +12. Given that that wasn’t an option but –12 was an option, I double checked using Symbolab and realized where I had made the mistake. So, I definitely did cheat here, but I’m not to worried about it. In fact, I was actually pretty proud of myself that I was able to do the integration by parts properly having not used that technique in such a long time.
I finished the unit test around 5pm on Thursday. That day, I’d actually gotten to the 14th question not he test TWO times and gotten it wrong both times, so I was pretty much ready to pack it in after second time. I decided to restart around 4:15pm and was planning on just answering a few questions to set myself up well for Friday morning, but then before I knew it I was on the 10th question and then managed to just finish it off. 😮💨
I started the Course Challenge on Friday and, like I mentioned, got to the tenth question before I ran out of time. Here are three questions from the CC:
Multivariable Calculus – Course Challenge
Question 10




This was the first question that came up on the test. I’d seen this type of question on the IMF unit test many times so I had the process to solve it fresh in my memory. (Actually, now that I look at it, it’s literally the exact same type of question as Question 8 from above.)
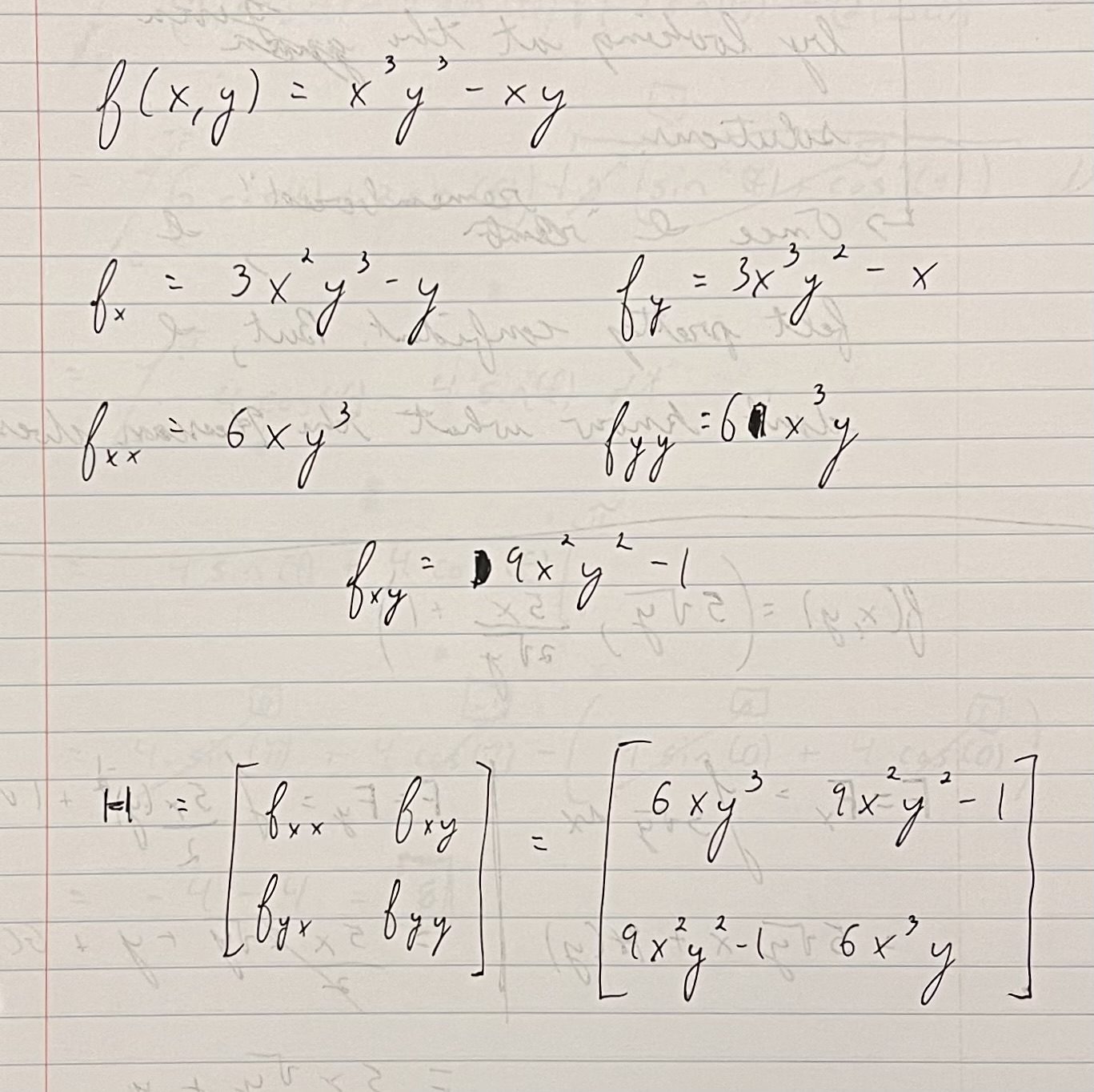
Question 11



This was one of the only questions on the CC I came up against that wasn’t a question I’d seen on the IMF unit test. Initially I didn’t know what I needed to do to solve it, but after a minute or two I remembered/realized that I needed to find the double partial derivatives of f(x, y), throw them into a 2×2 matrix, and find the determinant. Once I remembered that, I was pretty confident I knew how to solve this question, but I didn’t/still don’t remember what the Hessian is or why it exists. 😞
Question 12



The bad news is that I cheated here because I had to look up the formula for curl, but the good news is that once I saw the formula, I had no problem actually solving the question and doing the operations. In fact, I find this type of math pretty straightforward now. 🧨
And that was it for this week. I just double checked my notebook and I ended up writing out 45 pages of notes this week. 😳 I don’t want to jinx it or get ahead of myself but, assuming I can get through the Course Challenge without too much difficulty, I’m pretty pumped to be getting to the end of this with so much momentum. The rule I have for myself is that I need to get ≥90% on the Course Challenge, meaning I need to get at least 27/30 correct. Given that I’ll be starting the week already at 10/10 correct, I’ll only need to get 17/20 correct on the remaining 20 questions, so it seems possible that I could do it on my first try. If that doesn’t happen, I definitely think it’s possible that I’ll restart and manage to get 27/30 questions correct before the end of the week. And even if THAT doesn’t happen, I’m confident that it’s not going to take me much longer to pass this test.
It’s crazy to think how close I am to being done. It’s also crazy to think that soon I won’t be studying math every week, and it actually makes me a bit sad when I think about it. 🥺 But, I’m going to start working through the English side of KA once I’m done, and once I get through that I’ll get started on the Physics side of KA which will obviously include a lot of math. But that said, I don’t want to get ahead of myself though so, as always, fingers crossed I can have a productive week this week so I can FINALLY achieve my goal of “teaching myself calculus” (which has since turned into getting through the Math: High School & College section of KA). 🤞🏼