I had one those “could have gone better, but could have gone worse” type of weeks working through KA. I made it through the final two articles in Integrating Multivariable Functions and got halfway through the unit test before the week ended. The good news is that I got through 7/16 questions on the test without getting one wrong, but the bad news is that I probably only worked on KA for about 30 minutes each day. 👎🏼 Also, even though I didn’t get any questions wrong, I felt super unsure of what I was doing working through most of the questions. It turned out that I did know how to solve each question properly, but it felt like I was guessing for most of them. I suppose I should have expected this since I haven’t had much practice with these questions and that I just need to keep doing them before everything I read over the past few weeks snaps into place. And on the bright side, I’m SO close to finishing this all off and even though I wasn’t completely confident working on the unit test, I also didn’t feel completely lost like I did before. So, all in all, it was a decent week for me on KA and, at the very least, I feel like I started to build up a bit of momentum. 💪🏼
Here are some screenshots and notes from the final two articles I worked through:
Article 1 – Flux in Three Dimensions




Working through this article, I can understand all the different parts of the flux-in-3D surface integral now. I’m starting to wrap my head around the idea that that you’re not integrating individual values but functions/equations themselves. (I probably should have realized this a long time ago…) This reminds me of linear algebra as in LA, you add and subtract equations/expressions and with this flux-in-3D integral, you’re integrating the vector fields F and n̂, two multivariable expressions.
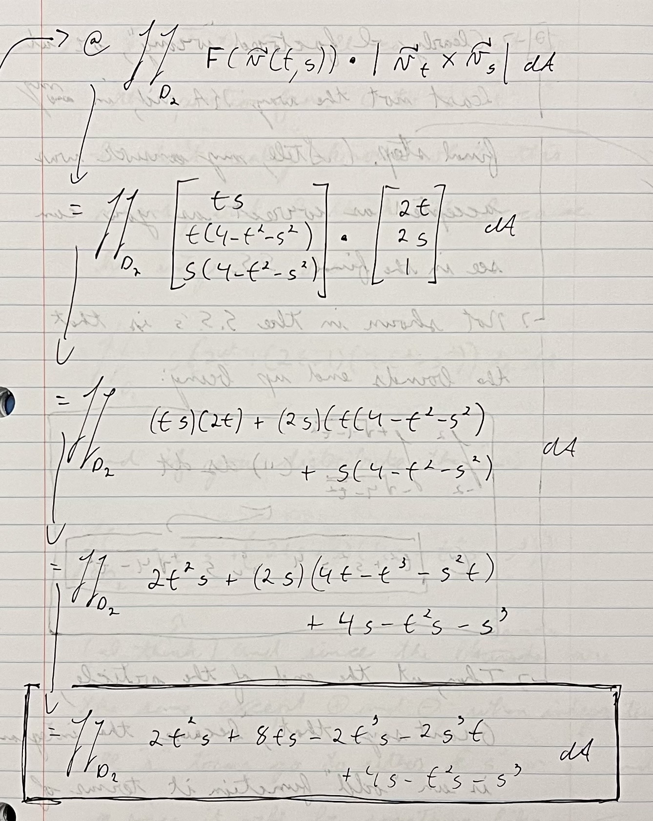
Article 2 – Flux in 3D Example












This was the final article I worked through which, as you can see, just walked through an example of how to do flux-in-3D. Comparing my solution ti KA’s, clearly I factored it wrong, or at least not the same way KA did, but I inputted my answer as it was and KA said it was correct.
Not shown in the screenshots I took was that the bounds of the double integral were –2∫2 –(4 – t^2)^1/2 ∫(4 – t^2)^1/2 [the integrand] dsdt. Then, at the end of the article, Grant says that, “because the integrand is an ‘odd’ function in terms of ‘s’, the inner integral from –(4 – t2)1/2 to 0 will cancel out with the portion from 0 to (4 – t2)1/2.” I don’t really know what this means, but I think the reason why it “cancels out” is because his integral was ∫∫D_2 s(2t2 + (2t + 1)(4 – t2 – s2)) dsdt and if you distribute the s you get ∫∫D_2 2t2s + (2ts + s)(4s – t2s – s3) dsdt (I think) and since the bounds are the exact same except (+) and (–), when integrating, all “s” factors go to either s2 or s4 and, for example, this would lead to something like:
- [ s2 + s4 – (s2 + s4)]–11
- = 1 + 1 – ((–1)2 – (–1)4)
- = 1 + 1 – (1 + 1)
- = 0
That probably doesn’t make sense, but I’m trying to show that if an integrand is an “odd” function and the bounds are equal but have opposite signs (like 1 and –1 in my example above), then the upper and lower bounds end up cancelling each other out leading to the solution being 0. (Again, pretty sure that doesn’t make sense, but I think I understand, so I’ve at least got that going for me which is nice.)
I ended up starting the unit test on Wednesday and, as I mentioned, made it through seven questions. Here are five questions from the test:
Multivariable Calculus – Unit 4 – Unit Test – Integrating Multivariable Functions
Question 1



I didn’t know exactly what I was doing when I answered this one. I looked at it for about 2 minutes and was able to figure out in my head that the solution was probably (0, –5, 0) since it was given that θ = 3π/2 and I imagined a cylinder centred at the OG of (x, y) and therefore at θ = 3π/2, the normal vector would be pointing directly in the (–) y-direction with no x-component. I wasn’t completely sure what to do but knew I needed a cross product (or determinant?) of some kind, so I found v ⃗θ X v ⃗z which turned out to be exactly correct. The good news is that because I reviewed the articles over the past few weeks, I had a WAY better idea of what was going on. I knew what “parametrization” meant and “normal vector” and could essentially visualize what was happening with everything.
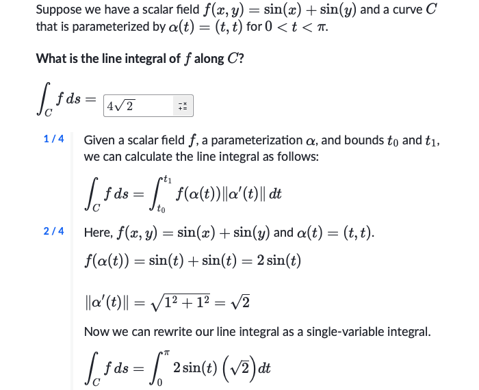
Question 2



Once again, I initially couldn’t remember what to do for this question and didn’t really know what I was doing. (And spoiler alert, that’s pretty much the theme for the next few questions.) I spent ~5 minutes thinking and trying to visualize the line created by sin(x) + sin(y) but couldn’t see it. I knew it was asking me to find the area of the curve * height and ds = (dx2 + dy2)1/2. I also remembered that α(t) would go into f(x, y), but after that I basically just winged it by throwing everything into the integral without knowing what I was doing and ended up getting it correct.
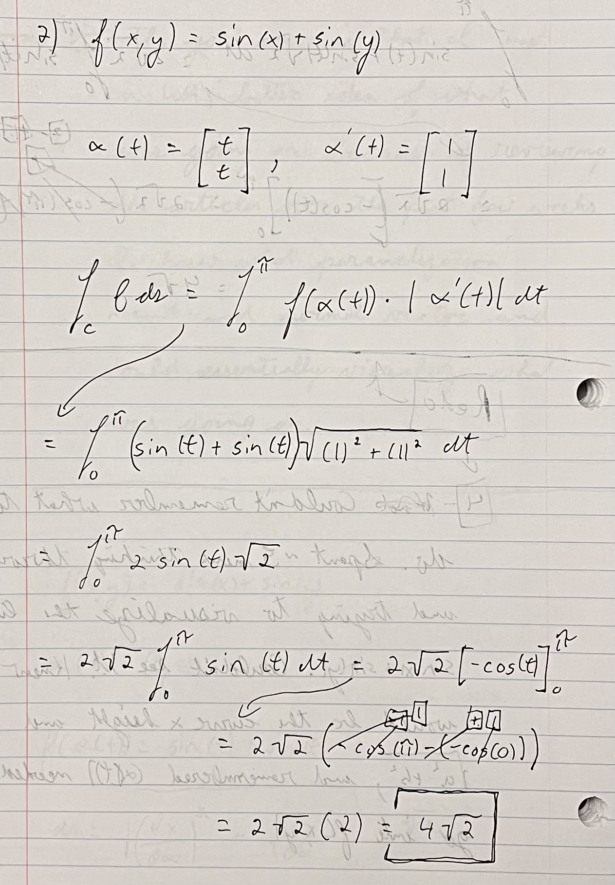
Question 3



As you can see, I got this correct but, again, had no idea what I was doing. I figured that ∫f = ∫∇F = F which, from a notational perspective, made sense to me but I didn’t/don’t understand why you add ∫f(x) + ∫f(y) and it somehow just gives you the solution. 🤷🏻♂️
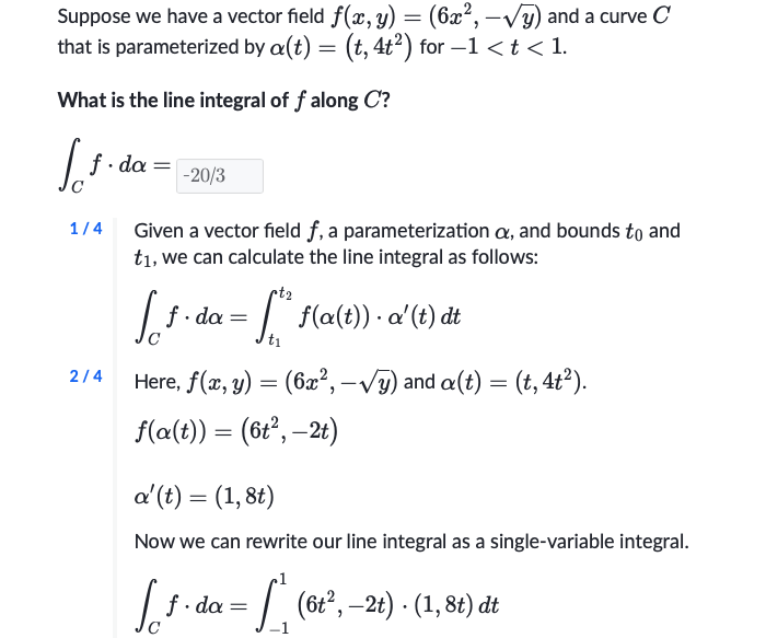
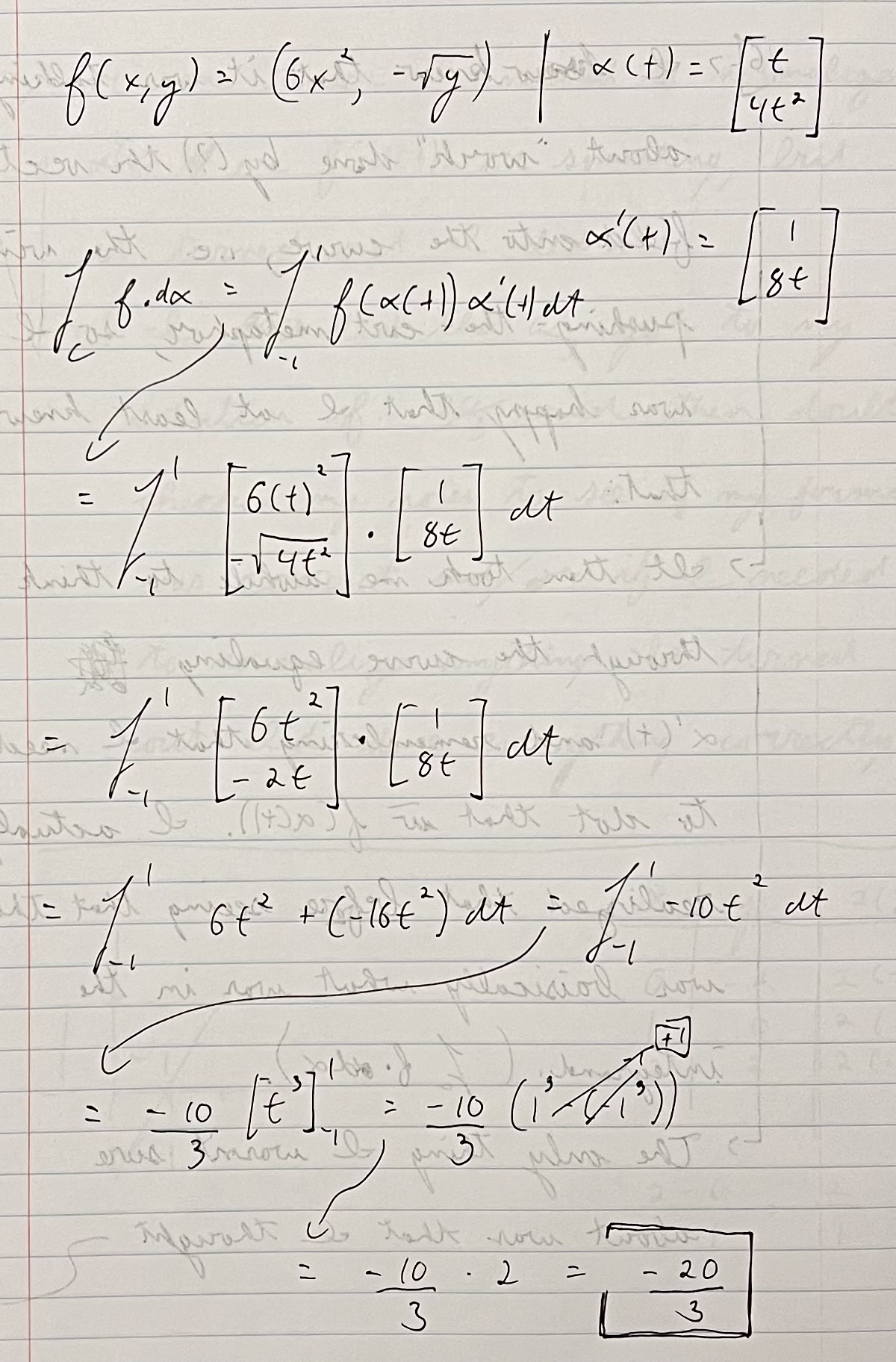
Question 4



In this question, I knew that it was talking about the “work” — which I remember Grant said in one of the articles is a term used in physics — done by the vector field onto the curve (i.e. like wind pushing a cart along a path) so I was glad that I at least knew that. It took me a while to think through the curve equaling α’(t) and that I needed to dot that with f(α(t)). I actually figured that out before seeing that was precisely what was in the integrand (C∫ f⋅dα). The only thing I wasn’t sure about was that, for some reason, I thought I needed to normalize α’(t) or f(α(t)), but it turned out that wasn’t the case. I worked through the question without normalizing anything, got to the solution, –20/3, and then double checked my notes to see if the formula I used was correct and/or if I needed to normalize anything. It turned out I didn’t so I submitted my answer which ended up being correct.
Question 5



This was the last question I made it through this week and, surprise surprise, I didn’t know what I was doing. The question told me to find Py and Qx which I knew how to do and solved pretty easily. I couldn’t remember what it meant for a vector field to be conservative (I think it means that there are no “cliffs” in the field, i.e. the gradient is smooth across the entire field) but I had a feeling that f(x, y) is conservative if Py – Qx = 0. So, I solved the question leading to my solution being 0 then Googled what the formula was to determine if a vector field is conservative and Google said that a vector field is conservative if Py = Qx, which is basically the same thing as Py – Qx = 0 so it turned out I actually did know what I was doing. 🙃
And that was it for this week. I’m not thrilled that I only made it through seven questions in five days, but I’m happy that I got all of them correct. I’ll be starting this coming week on question 8/16, so there’s a chance I could get through this test pretty early in the week. I think what will likely happen is that I’ll end up getting a question wrong and have to restart the test, BUT I will eventually get through the test before the end of the week. 🤞🏼 I feel like I’ve come a long way and am finally starting to wrap my head around the notation used in these multivariable integral questions which is making it a lot easier to visualize what’s going on but, that said, I know I still don’t have it all figured out… BUT, nonetheless, I’m feeling pretty good heading into this week so, as always, fingers crossed I can have a productive week, crush this final test, and get started on the Course Challenge so I can finally (FINALLY!!) finish this off! 😭😮💨