It was once again not a very good week for me on KA. 😞 I only made it through four articles in Integrals Multivariable Functions which is super disappointing considering I only had six articles left to get through in the unit at the start of the week… I’m guessing I spent less than 5 hours studying, so my effort wasn’t good enough which explains why I didn’t get through all the articles. My excuse it that, for a handful of reasons, I had a busier week than usual, but I hate using that as an excuse and should have managed to get more done regardless. Nonetheless, I did get some work done and got some decent practice with surface integrals which was helpful. I vaguely remember working through these articles before months ago (or maybe years?) and I think I’m understanding what’s being taught better this time around, so I’ve at least got that going for me which is nice. 🙃
Here are some notes from the four articles I worked through:
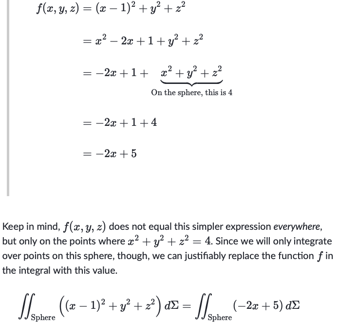
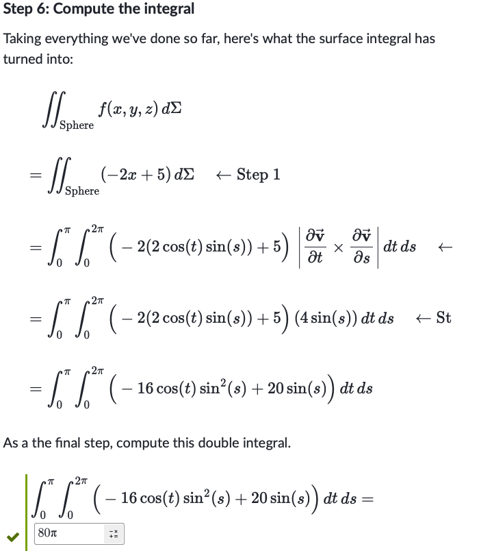
Article 1 – Surface Area Example

















This was obviously a pretty crazy question but good practice. I wouldn’t have known what to do to solve question if the steps weren’t laid out for me, but I was able to do all the steps properly without cheating when I saw them and got everything correct on my first try. (Except that I factored Step 2 wrong and looked at KA’s answer halfway through since my solution was getting way to big and I assumed I’d done something wrong. Although, technically, I didn’t do anything “wrong”, I just needed to factor differently.) I didn’t find doing the math in each step hard, it’s just a matter of memorizing the formulas and the process on things like the cross product, finding the magnitude using of Pythag’s Theorem, integral rules, etc.
Article 2 – Surface Integrals




This article explained that a surface integral is used to figure out the surface area of a curved 2D surface (think of a piece of paper that is curved like a hill and, in that sense, has a z-dimension to it), associate a scaler value with each point on the surface (for temperature or something), and then sum up all the scaler values for the surface being looked at. Also, FYI, The picture of my hand written notes was just me writing out the different forms of notation used for these types of integrals.
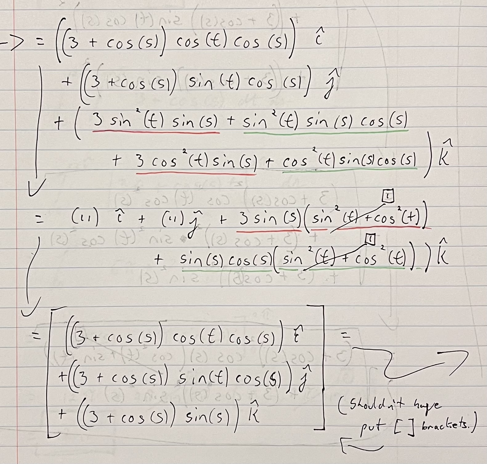
Article 3 – Surface Integral Example

















I’ll let my hand-written notes and the screenshots speak for themselves here, but one thing I’ll mention is that for the most part I knew what I was doing on this question — I knew the process of how to solve it and got the correct solutions for each step. I did “cheat” when I was factoring the î, ĵ, and k̂ terms in |(v ⃗θ) X (v ⃗Φ)| by looking at KA’s solution without factoring all the sines and cosines on my own because it would have taken me forever. Plus, I did pretty much the same thing back when I was working through the first article above, so it didn’t really seem necessary to me.
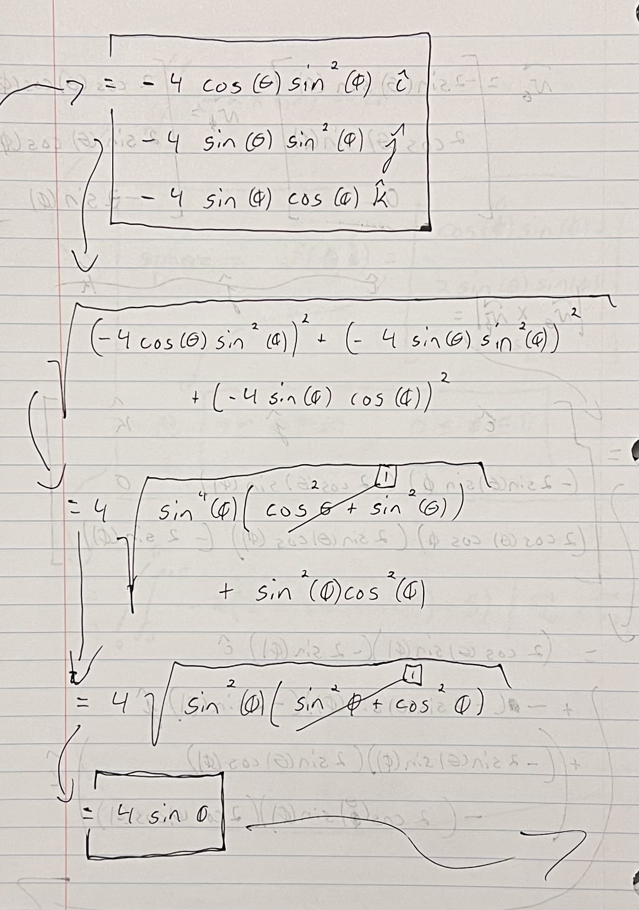
Article 4 – Unit Normal Vector on a Surface







I think the last time I worked through this article I’m guessing I found it fairly confusing, but it made a lot of sense to me this time through which was a relief. I don’t necessarily understand why the math works, but I do more-or-less understand and how the steps come together and have a decent intuition as to why the steps logically work together. For example, I used to struggle with understanding why you’d need to divide each component of the normal vector by each component thrown into Pythag’s Theorem in order to get the UNIT normal vector. It’s hard for me to explain, but I can now visualize what’s going on in this process which makes the entire thing much easier for me to wrap my head around.
And that was it for this week. As you can see, the articles weren’t the easiest articles I’ve ever worked through so, even though I wish I would have gotten more done, it’s not like I didn’t get anything done… And the good news is that I am CERTAIN that I’ll get through the two remaining articles this coming week and will then be only a unit test and a Course Challenge away from being DONE. 😭 I’m assuming this means that I’m two or three weeks away from finishing this all off, although the Course Challenge could be tricky, so I guess we’ll see. In any case, as always, fingers crossed that I have a productive upcoming week so I can finish it all off before I turn 427 years old. 👴🏻🤞🏼