I had another decent week on KA but it wasn’t anything spectacular. I got through eight articles in Integrals Multivariable Functions, most of which I more-or-less understood and were fairly helpful for me. I’m guessing I spent six or seven hours studying which was good, but I probably also could/should have gotten through more. Still, I’m happy with the progress I made and feel like I’m getting closer to wrapping my head around all of this. I feel like I need more practice with a lot of what the concepts that are coming up, but I’m getting better at visualizing what’s being talked about, so I’ve got that going for me which is nice. So, all in all, it was a pretty solid week, and I’m happy to be eight articles closer to finishing this all of. 😮💨
Here are screenshots and notes I made from each of the eight articles I read on what seemed like the most important part of each article:
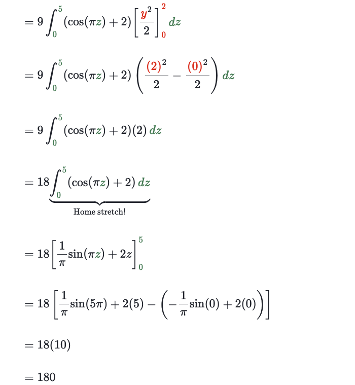
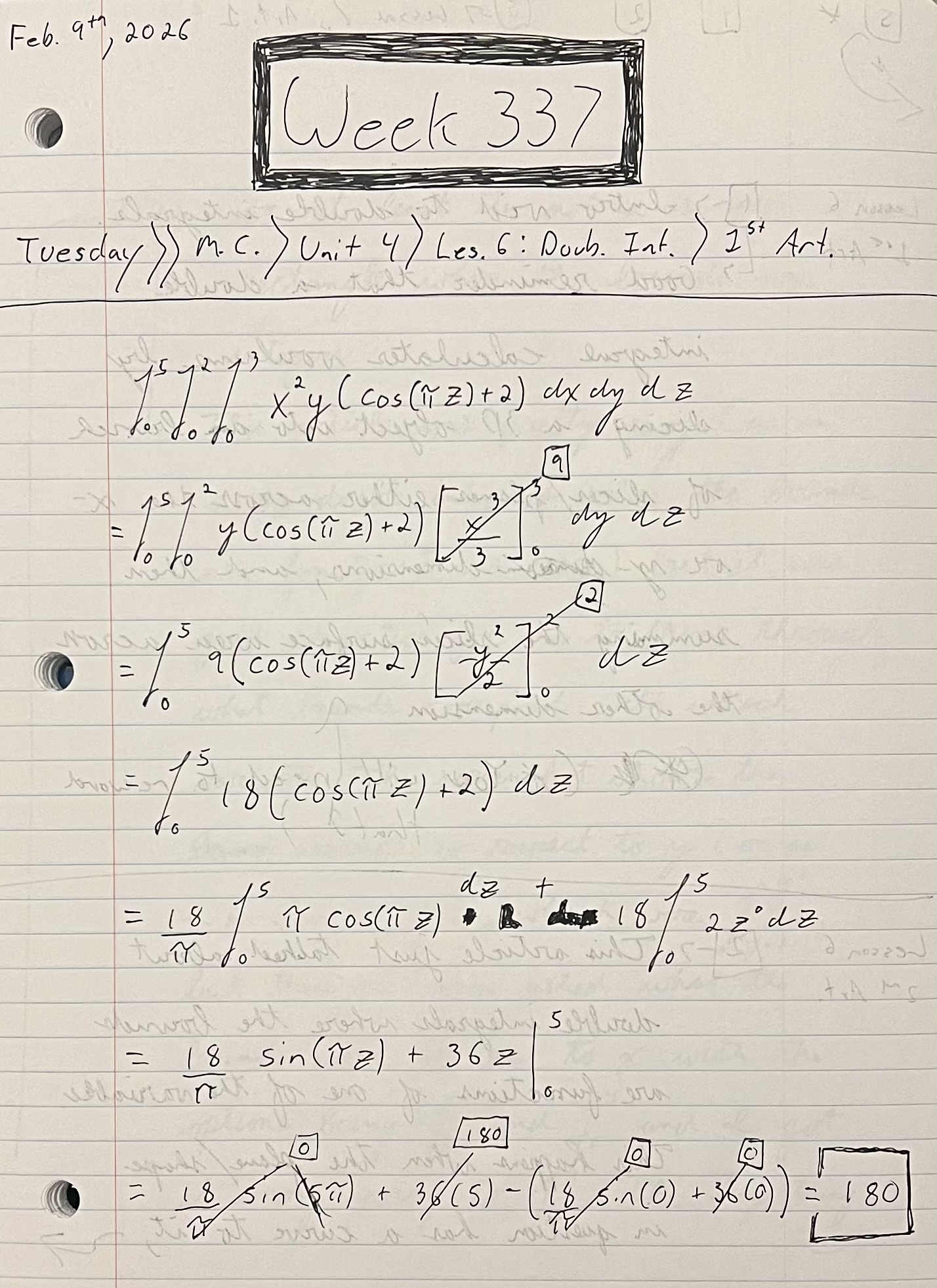
Article 1 – Double Integrals

This screenshot doesn’t really show it, but this entire article primarily just a good reminder for me that a double integral calculates volume by slicing a 3D object into a bunch of slices/planes across the x-dimension and calculating the surface area of each slice, and then sums the slices across the y-dimension, or vice versa.
Article 2 – Double Integrals Over Non-Rectangular Regions

This article just talked about double integrals where the bounds are functions of one of the variables. This happens when the plane/slope in question have a curve to it, or at least when it’s not a simple rectangle where the bounds are integers. This article was pretty easy to read/work through (as in, doing double integrals where the bounds are functions seems easy) but, nonetheless, it was still good practice for me to think through what bounds correspond with which variable.
The screenshot shows the bound with respect to y (or as a function of y?) were y+2∫y^2 but then later int he article I was asked what the bounds were with respect to x with the options begin 0∫2 and 0∫4 and I got it wrong choosing 0∫4. The key thing to remember is that dx means you’re creating a slice that goes up and down the y-dimension with a width of dx, meaning that the bounds need to be relative to the shape’s y-boundaries, which, as you can see in the screenshot above, was 0∫2.
Article 3 – Double Integrals Beyond Volume

The screenshot above doesn’t talk about this, but this article explained that on top of using double integrals to calculate volume, you can use them to calculate mass or density of a 2D plan (which doesn’t make sense to me since a 2D plane can’t exist in the real world). You calculate it literally the same way as you do for volume, you just think of it as doing it for mass.
Article 4 – Double Integrals in Polar Coordinates

This article explains that dA = (rdθ)(dr) and made the point that you have to add in the extra ‘r’ into the conversion, specifically multiplying it by dθ because dθ represents radians and radians are a unit of measurement, not a unit of length, that are dependent on the radius of the circle in question.
Article 5 – Triple Integrals



This article more-or-less just stated that triple integrals are pretty much the same thing as double integrals in that they calculate volume, but instead of calculating a slice of the volume by multiplying the function’s height by a tiny, tiny width in either the x- or y-dimension and then summing up all the slices, instead you calculate a tiny, tiny piece of the volume in the 3D object, then sum up all the pieces of volume. (That was poorly phrased, but hopefully you understand.) Anyways, you calculate the integral the exact same way in a triple integral as you do in a double integral. It’s not really shown in this example, but generally speaking, the hardest part about calculating these integrals is figuring out the bounds.
Article 6 – Triple Integrals in Cylindrical Coordinates


As you can see, this is an extension of what I was just talking about in the previous two articles. Similarly to dA being equal to (rdθ)(dr), it turns out the dV in cylindrical coordinates is equal to (rdθ)(dr)(dz). I already understood the concept of dθ being a unit of measurement (like cm or L, for example) and not a unit of length which is why you have to multiply ‘r’, but what really helped me have this concept sink in was thinking about how going one radian around a circle where r = 1cm would mean that the length of the radian would be 1cm, whereas going 1 rad around a circle where r = 5cm would mean that 1rad = 5cm. (This seems obvious now, but for whatever reason simplifying it in my mind like that helped.) So, that’s why dθ is dependent on r and why you multiply dθ by r.
Article 7 – Triple Integrals in Spherical Coordinates


The first screenshot above shows the “formula” for spherical coordinates, dV = r2sin(Φ)(dr)(dΦ)(dθ), is similar to the “formula” for polar coordinates when finding area, dA, in that for both angles, dΦ and dθ, you multiply each by ‘r’ because Φ and θ are both units of measurements which you HAVE to multiply by radians in order to get a unit of length. Also, you have to multiply dθ by sin(Φ) because sin(Φ) is the distance away from the z-axis that the rotation around the z-axis (dθ) is being calculated/measured on the sphere. (You can sort of see what I’m talking about in the second screenshot, although really the dotted line should be coming off the top of the z-axis perpendicular to the point that the radial is going out to, but it doesn’t really matter since it’s the same length.)
Article 8 – Surface Area Integrals




This last article I got through talks about finding the surface area of a 3D object/shape/surface based on a transformation of a 2D surface. I understand what is going on (I think), as in the concept of ‘mapping’ a 2D set of coordinates onto a 3D surface with a transformation and being able to determine the surface area of that 3D surface based on the 2D input (?) space, and I sort of understand how to do it (see the screenshots below), but I definitely don’t understand why the math works, most particularly why the cross product of the partial derivatives of the input space is used. (I’m quite confident what I just wrote doesn’t make sense. 🙃)
Even though I don’t really understand why this all works (yet), here’s an example I worked through from this article of how to calculate what goes in the integrand:





So, as you can see, the math is pretty straightforward, the hard part is just knowing wtf is happening and when to use/apply this formula.
And that was it. Like I said, I was happy with what I was able to get done and, for the most part, understood everything (except for what I just talked about at the very end), so it could have been worse. There are six articles left for me to read before I’ll reattempt the unit test, so I’m hoping/guessing that I’ll be able to get through them all this upcoming week. I’m also REALLY hoping that the unit test will be easier this second time around (or third time around, depending on how you think about it). After that, there’s only the Course Challenge left for me to reattempt and finish off. I’m assuming it will take me a few weeks to get through but, considering I’m 337 weeks into this endeavour, I’m basically at the finish line of all this. SOOO CLOSE!! 😭
As always, fingers crossed I have a productive week so I can get through it all sooner rather than later. 🤞🏼🙏🏼