In a weird way I had a really good week on KA but also a really bad week… I’m very happy to say that I passed the Multivariable Calculus Course Challenge on Tuesday! (On my first attempt at it, no less.) I started on the 11th question so I only had 20 questions left to get through, but I’m proud to say that I got 19/20 correct, and the only reason why I got one wrong was because I made a super careless mistake. So, I finished the Course Challenge with a 97% and at that point thought I was FINALLY finished. But then I realized my score on one of the exercises had dropped from 100 M.P. down to 80 M.P. because I had got that single question wrong. (This has always been what happened when getting a question wrong on a unit test but it’s the first time it happened to me when getting a question wrong on a Course Challenge.) At that point I also went back to double check my Course Challenge scores from all the other courses and realized I hadn’t done the Course Challenge AB Calculus or BC Calculus, AND the AP Stats Course Challenge was only 87%… So, I went from thinking I was completely done to having to do three Course Challenges to finish it all off… Nonetheless, I was happy and proud of myself to get through the M.C. Course Challenge, so I at least have that going for me which was nice. 😭
Here are 13 questions from the M.C. Course Challenge.
Multivariable Calculus – Course Challenge
Question 1



This was the 11th question on the test which I had read at the end of last week but didn’t attempt. I knew when I saw it on Sunday that I didn’t remember Green’s Theorem so I watched a few videos on G.T. on Monday and Tuesday morning before coming back to this question. I sort of remember what G.T. is (the metaphor I use is that it’s like the curl around the edge of a whirl being equal to the sum of all the little curls within the whirl pool), but I couldn’t remember how to solve G.T. or why it works. I knew the formula was ∫Pdx + Qdy = ∫∫Qx + Py dA so I integrated both Q and P with respect to x and y but Py = sin(x – y) which wasn’t one of the given solutions. So, I guessed with answer c) because it had the same Qx I got in my solution and ended up choosing the correct answer. It turned out I was using the wrong form of Green’s Theorem. I was using the “curl” version of G.T. when I should have been using the “divergence” form of G.T., a.k.a. the “Normal Form” as the question stated. I feel pretty guilty that I didn’t know what I was doing not his question but still got it correct. I should probably go back and rewatch some vids on G.T. so that I actually understand it a bit better… 😒
Question 2




This was the 13th question on the test and I had just written everything out about the “curl” form of G.T. from question 11 one minute before answering this one, so I knew exactly what I needed to do to solve it. 👍🏼
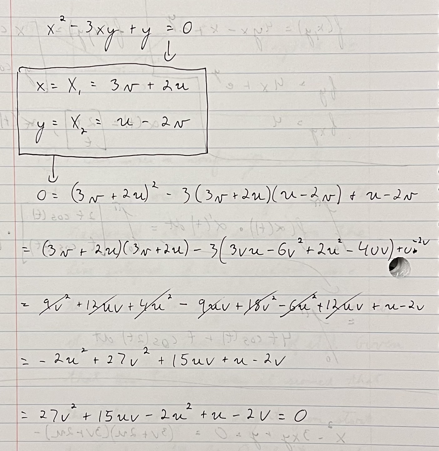
Question 3

This was a confusing question. I drew out a triangle but then realized it was asking for the line integral of the gradient, i.e. the change in height around the top of the “fence” (as I like to think of it). Given that it was a triangle, it seemed that the total change in height from start to finish would be 0 since you would just end up at the same spot. So, I answered with 0 and got it correct. (You can see that they really tried to trick me by saying, “five times clockwise”. 😠)
Question 4



This was some pretty straightforward algebra but I was still happy to get it correct. 😬
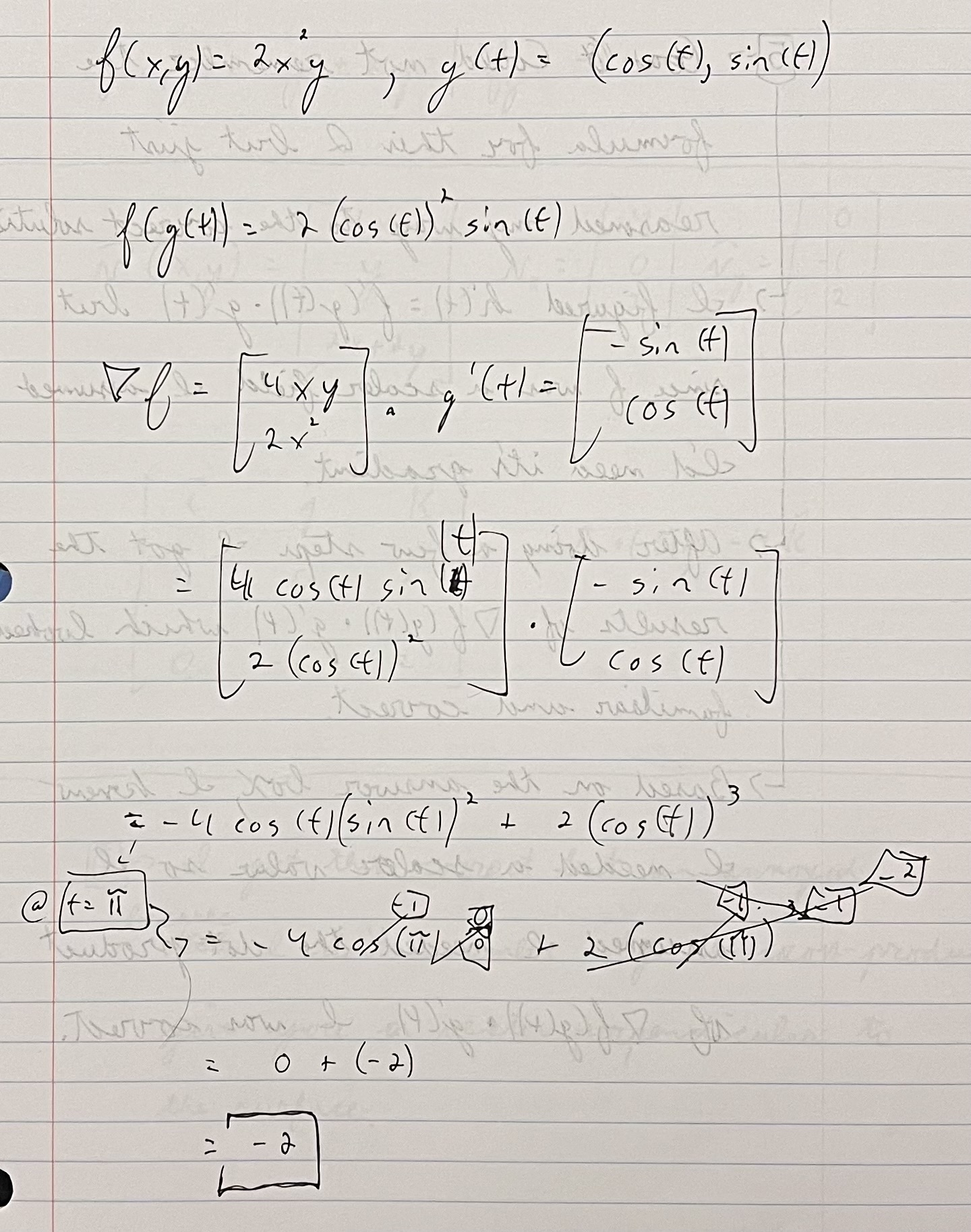
Question 5


I couldn’t remember the formula for this question but just reasoned my way to the correct solution. I figured that h’(t) = f’(g(t))⋅g’(t) which looked familiar and correct in my mind. Based on the answer box, I knew I needed a scaler value which is why I assumed I needed the dot product of ∇f(g(t))⋅g’(t). Turned out I was correct because I’m a complete genius/gangsta.
Question 6



I got this correct but was annoyed because I couldn’t (and still can’t) remember why the cross product gives you a vector perpendicular to the surface. 😓
Question 7



Again, this was another question where I knew how to solve it but couldn’t remember what was going on or why the math works. 👎🏼
Question 8


I didn’t remember the formula for this question, but it seemed like finding the gradient would make sense to do since it would give me the tangent line. I also saw that two of the answers had 6 as the coefficients for z, so it made sense to find d/dz[z2] = 2z and at z = 3, I’d get 2(3) = 6. I found the partial derivatives and inputted (–3, π, 3) for each variable to get what I assumed were the correct coefficients in the equation. I wasn’t sure if I should have gone with a) or c) but then realized that a) wouldn’t be equal to 0 if I inputted (–3, π, 3) into the equation but c) would so I went with c) and boom, correct. 🧨
Question 9



I got this question correct but didn’t know what “simply connected” meant. In my mind, the equation given says something like, “D is a 2D plane that includes (x, y) where x and y are both members of their respective 1d dimensions.” Not sure if that’s actually the correct interpretation of the notation but I think that’s the gist of it. Anyways, it seemed like there was no constraints on D and it would go on infinitely across the (x, y) plane so, in my mind, it made sense to go with “yes”, it was simply connected. 🤷🏻♂️
Question 10

Again, I couldn’t really remember what I needed to do here but I assumed I needed to find the derivative. I guessed that a) and b) were solutions to (x2 + y2 + z2)1/2 which would tell you the magnitude of a vector, but I knew that velocity includes a direction so the solution had to be a vector.
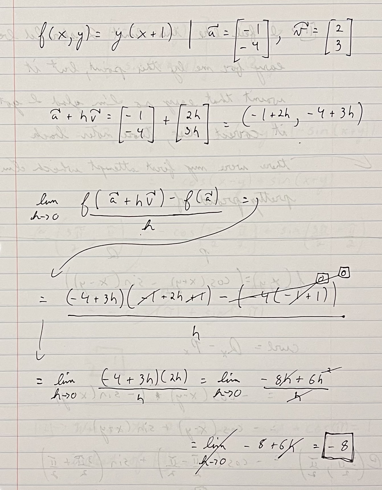
Question 11



I feel like this type of limit question should be easy for me to solve by this point in my math career but it’s not, so I’m glad that I got it correct. 😮💨 Not much to say about it on top of what I already wrote out in my notes above.
Question 12


This was the one question I got wrong. 🤬 I didn’t everything correct but for some reason thought that cos(π) = 1 instead of –1. As you can see, I was on the 29th question when I got this wrong. 😭
Question 13

I couldn’t remember answering this type of question before, but I assumed the answer was no because the space would extend infinitely. I checked Google and didn’t really get a confirmation one way or the other,\ but what came up seemed to suggest that I was correct with my thinking. I submitted my answer as “no” and found out my thinking was precisely correct. I finished the Course Challenge around 6pm on Tuesday. 🎉 🥳 🎊
As I mentioned at the start, after finishing the C.C., I realized I needed to go back and redo Unit 2’s Unit Test to take all the exercises back up to 100 Mastery Points. It took me two days to get through the test and around 6-8 attempts at it. The reason why it took me so many tries was because I kept making careless mistakes. I’d already taken screenshots of 13 questions from the C.C. and had already done this unit test a few months ago, so I didn’t bother making any notes on it again.
After finishing off that unit test, I decided that I’m going to redo that AP Statistics Course Challenge and then circle back to the AB and BC Calculus Course Challenges. I’m not worried about the Calc C.C.’s since, in theory, they should be easier than the M.C. C.C., but I’m pretty worried about the statistics Course Challenge. What made all of this about 10x worse was when I opened up the stats C.C. to restart it, I realized KA took away the option to restart the test halfway through. 😳 This was a loophole I’d use as if I got a question wrong, I could restart the test without having to finish it off. So now, assuming they don’t add the “restart test” button back in, it means that I’ll have to keep redoing the Course Challenge and redo ALL the Unit Tests of questions I get wrong over and over until I get 27/30 questions correct on the Course Challenge (i.e. my minimum requirement of 90%), and then I’ll still have to redo ≤3 Unit Tests to get the exercises back up to 100 M.P. 🥺 Part of me thinks this might take me months to do, but I started the stats C.C. and got 9/14 questions correct so far which isn’t great, but I’m also incredibly rusty so I’m hoping it won’t take me too long to review and relearn everything I need to finish it off sooner rather than later…
So… That was it for this week. I’m pretty bummed that it’s going to take me so much longer than I thought to finish this all off. I literally went from thinking I had completed my goal (after 341 weeks…) to thinking I’m probably at least 5 weeks away from finishing this off, but probably more like 10 or 15… That said, I’m SO close to being done, so I’m trying not to be too disheartened. Plus, I was oddly feeling pretty sad that I was going to be done studying math. 🫤 It’s confusing but I simultaneously want to be done this goal but will also be sad when it’s over. 🤔 In a weird way, I’m also glad to be forced to go back and redo the stats C.C. since I never felt like I had a super strong grasp on it int he first place, and then I’ll go back and do the AB and BC Calculus C.C.’s which will be a great full-circle way for me to end this given that my goal initially was simply to “teach myself calculus.” (Also, I’m pretty sure I did do the AB and BC Calc. CC.’s but when KA switched the UI in the nav bar, I think they took away my scores from those Course Challenges. 😠)
So, as always, fingers crossed I have a productive upcoming week so I can get through this all before I turn 90 years old.🤞🏼👴🏻