I’m sad to say that this was one of the least productive weeks I’ve had on KA in a long time. 😔 I think I only spent two or three hours working on the Integrating Multivariable Functions unit test and watching a few videos. As I mentioned in my last two posts, part of the problem is that there are a bunch of things coming up in the questions that I never really wrapped my head around the first time I worked through this unit, and the things I did somewhat understand, I’m super rusty on. One silver lining is that I’m not struggling too much with knowing how to do the math, as in I know how to do the calculus (usually), trig, and the linear algebra, but I don’t really understand what is happening with the math (as in I can’t visualize what’s going on), let alone know why any of the math works. Nonetheless, I do feel like I’m making some progress with it, although it’s very slow. So, it could and probably should have gone better, but I suppose it also could have been worse.
Here are five questions from the test:
Multivariable Calculus – Unit 4 – Unit Test – Integrating Multivariable Functions
Question 1



This was the first question I worked on this week. It honestly wasn’t that hard and I wasn’t sure if it was even worth adding to this post, but I got through it on my first attempt without screwing anything up or having to use Symbolab, so I figured I’d add it. I was glad and a tiny bit proud of myself that I was able to do the integration and algebra without having any issues. ☺️
Question 2



I got this question wrong. 😞 I thought that I needed the equation ∫f(x,y)*((x’)2 + (y’)2)1/2 but, at the same time, was pretty sure that didn’t make sense because I assumed you needed f(x,y) to be a scaler field to use that equation. To be completely honest, I still don’t understand the formula that you’re actually supposed to use, ∫f(Φ(t))⋅(Φ’(t))dt, so that’s a bit disappointing. Even looking at KA’s answer, I forgot how to do ∫3e3t thinking it was equal to (3e3t)*(3), but that’s d/dt[3e3t]. It’s been so long since I’ve done integration that I started doing the derivative of it in my head instead of the integral and then when I realized what I was doing wrong, I had to review my weird, alphabet way of taking the integral and putting it into ∫(a’(b(t)) * b’(t)dt and then solving for a(b(t)) — which is what I do instead of doing u-substation because I don’t understand u-substitution. 🙃
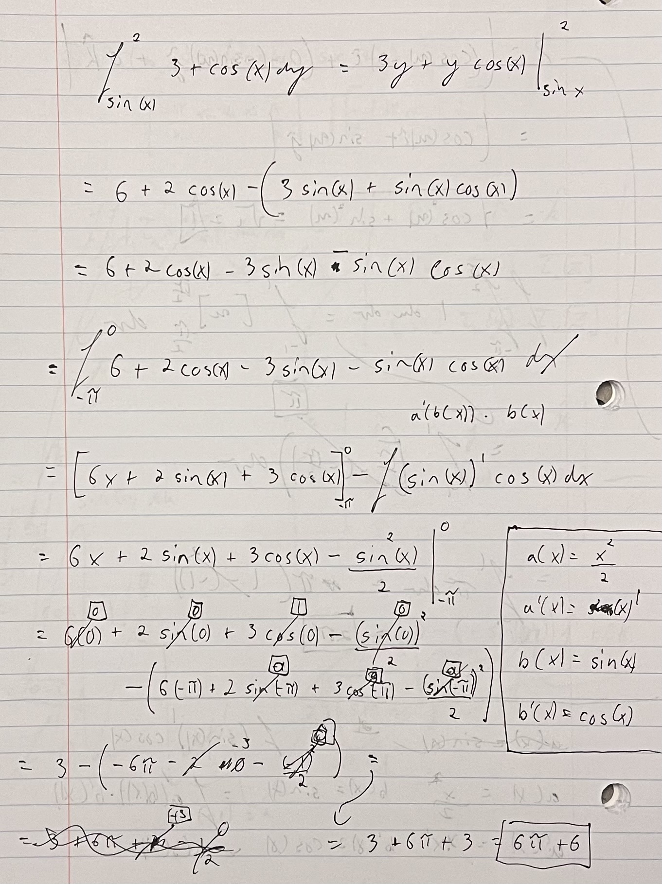
Question 3



For the most part, the integration in this question wasn’t that hard, there were just a million steps to solve it which is what made it tricky. I had to use Symbolab to review ∫sin(x)cos(x)dx and remembered that you can view sin(x) as a’(b(x)) = (sin(x))1 and then cos(x) = b’(x) leading to a(b(x)) equalling sin2(x)/2. This took me 5–10 minutes to review and took me a bit of trial-and-error to get there. What made it worse is that KA’s solution uses some trig identity where ∫sin(x)cos(x)dx = cos(2x)/4 which I don’t understand. 😡
Question 4



I had no clue what I needed to do to answer this question. I still don’t understand the formula, and there weren’t any suggested videos for me to watch ether. 🙁 The formula isn’t that hard to use though, so I’ve at least got that going for me which is nice.
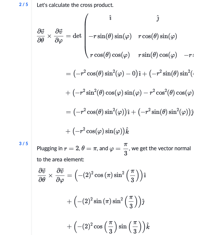
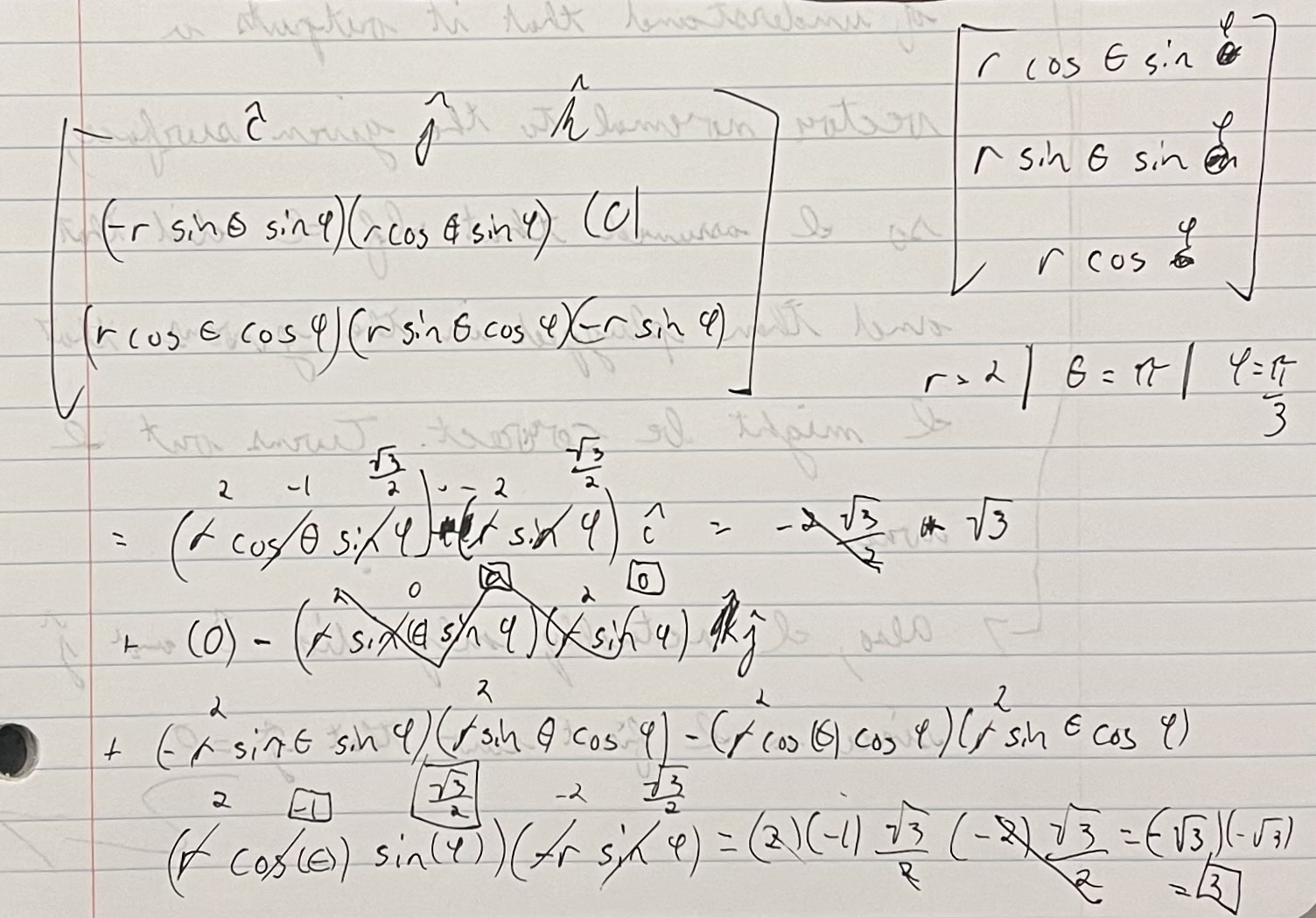
Question 5




I got this question correct doing it the “right” way, although I had no idea what I was doing or if I was doing it correctly when I was doing it. I assumed finding the cross product (which I thought was the gradient? 🤔) was what I’d need to do and sort of understood that it out puts a vector normal to the given surface, so I assumed that if I did that and the plugged in the givens that I might be correct. As it turned out, I was. Also, I actually only did the first two vectors, î and ĵ, as I first realized that ĵ was 0 and then figured out that î was 3, meaning the answer was (b). (As you can see, my notes were SO bad for this question but I really don’t feel like redoing them, so hopefully whoever’s reading this can sort of understand them. 😬)
And that was it for this past week. Like I said, I’m not thrilled with the amount of work I got through, but I did manage to make a bit of progress understanding these questions, so hopefully I can build on that momentum this coming week. I know I’ve said this a million times, but I’m SO close to being done and really want to get this all finished sooner rather than later. I think if I can make some headway this coming week understanding what’s going on with the questions from this unit test, I can likely finish it off in two weeks at the most. I also think that the Course Challenge may not be as hard as this test considering the other two unit tests I worked through weren’t as hard as this one and the Course Challenge will be a mix of all of them. So considering that, I think it’s very possible for me to be finished all of this before the end of February. As always, fingers crossed that I have a productive week so I can make it happen! 🤞🏼