It was a pretty slow week for me on KA, unfortunately. I may have studied for 5 hours this week but probably not. 😔 I felt out of my depth on most of the questions that I attempted on the Integrating Multivariable Functions unit test which was disappointing since I thought that working through the Linear Algebra and Differential Equations courses would make these questions much easier for me to understand. But, it wasn’t all that bad! Some of me not understanding what to do was simply because I’m out of practice with the formulas and concepts, and some of it had to do with the fact that I never really understood this stuff in the first place, so I literally need to learn it now for the first time. 🤷🏻♂️ And on the plus side, even though there many times when I didn’t know what was going on, I never at any point felt like I wouldn’t eventually be able to figure it out, I just need to spend more time watching vids to review. There was also something else that happened this week that was probably the most positive thing to happen to/for me in years which took up a lot of my time this week. (I’ll explain at the end.) So, all in all, it wasn’t my best week, but I still feel confident that I’ll be able to figure it all out soon enough, so I’ve got that going for me which is nice. 😌
Here are six questions from the test I worked on this week:
Multivariable Calculus – Unit 4 – Unit Test – Integrating Multivariable Functions
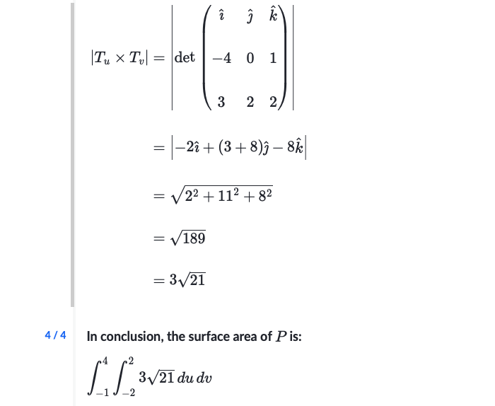
Question 1




This question was actually the last question I tried to answer at the end of last week which I got wrong. I watched the video below to try and understand the equation of a surface area being transformed a bit better. And FYI, my written notes above were after seeing KA’s solution and after watching this vid which was titled Introduction to the surface integral:



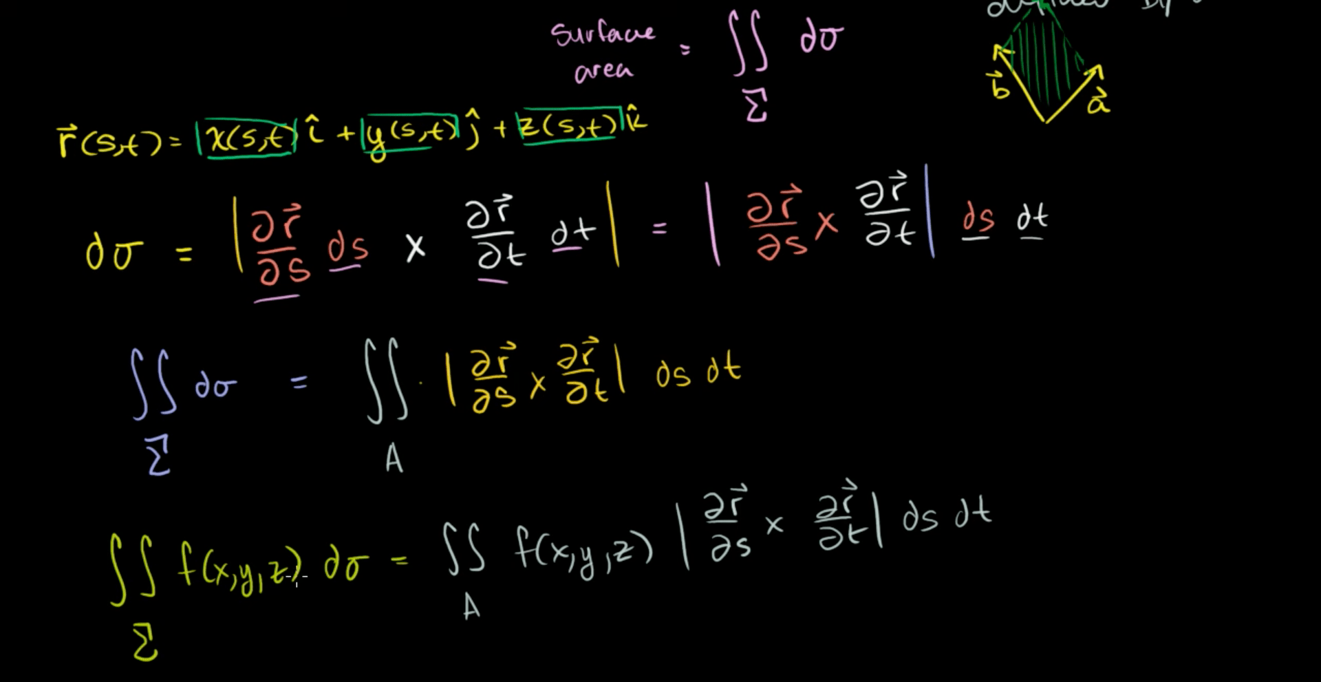
In this vid, Sal goes through the formula used to calculate a surface integral which is ∫∫ |(∂r ⃗/∂s)* (∂r ⃗/∂t)|dsdt where r ⃗ represents a 3D vector ON the surface integral but is only a function of s and t (i.e. x and y). The second screenshot shows the (s, t) plane as a top-down view of the 3D surface integral r(s, t) which is shown in the “wavy” graph in the centre. A key takeaway here is that in the formula ∫∫ |(∂r ⃗/∂s)* (∂r ⃗/∂t)|dsdt, the part that says |(∂r ⃗/∂s)* (∂r ⃗/∂t)| is a tiny, tiny 3D parallelogram and ds and dt are tiny, tiny little squares — the dsdt being from the top-down perspective represents the section of the surface being looked at/calculated and the |(∂r ⃗/∂s)* (∂r ⃗/∂t)| including the z-component of the section of the surface area being looked at/calculated. Multiplying those two values together gives you the accurate amount of surface area for each tiny, tiny, little section of the surface, and then summing them all up with the double integral is what gives you the total sum of the area.
(I think… Also, in my written notes, in the determinant matrix I wrote Tu[x], Tu[y], etc. to denote the partial derivative of each component of T(u, v), but I’m I just made that notation up and I don’t think that it’s used or if it even makes sense. 🙃)
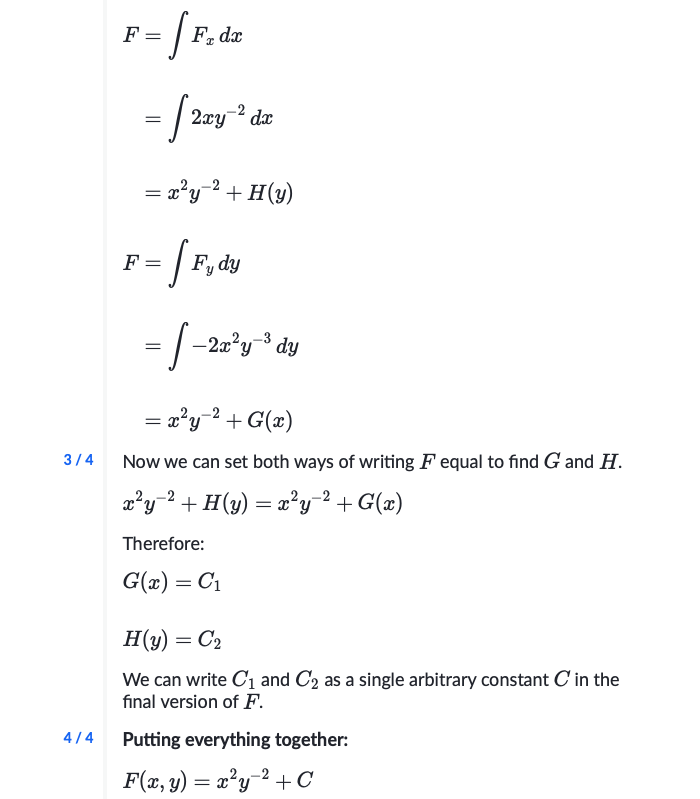
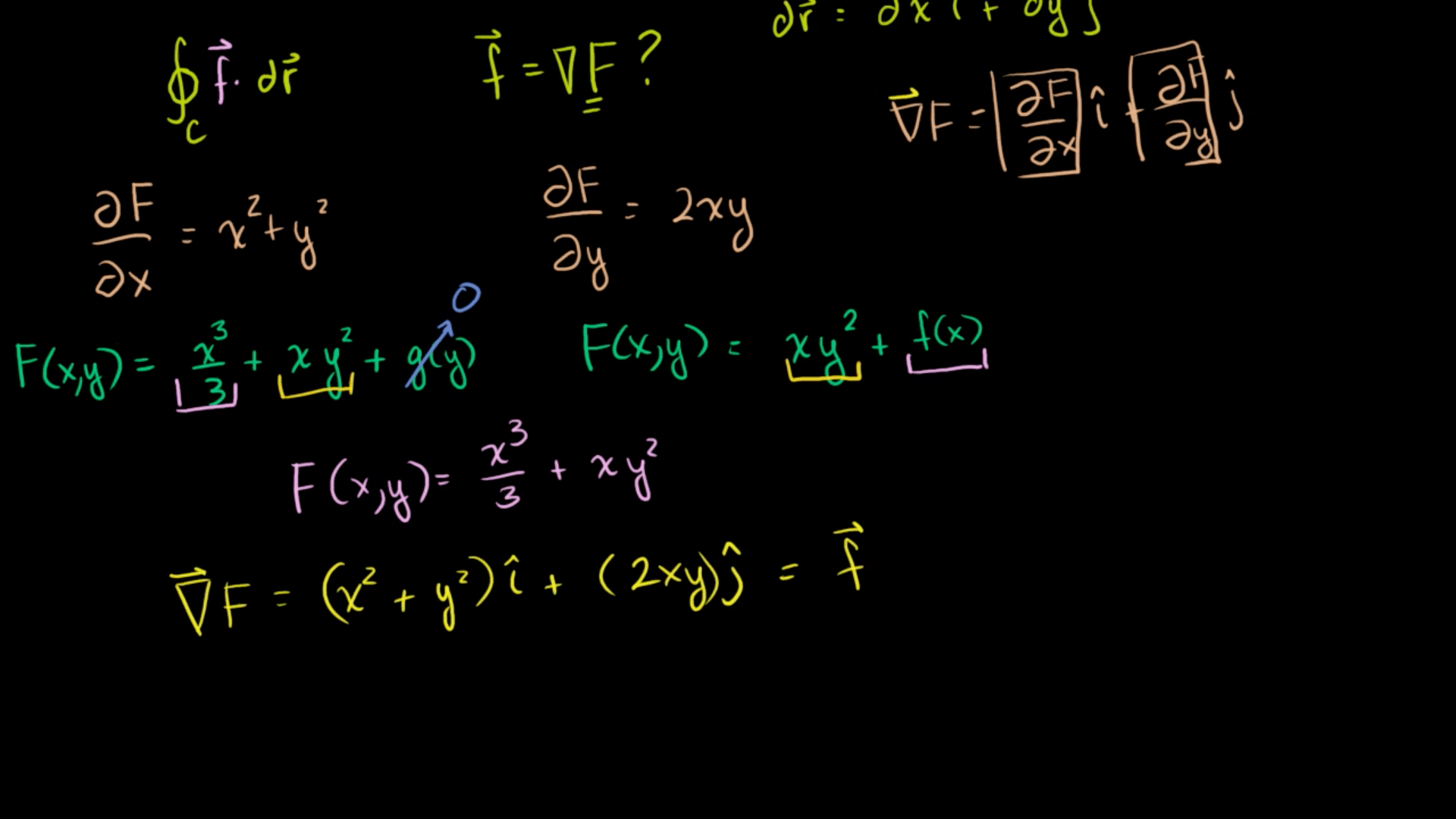
Question 2



I didn’t/don’t really understand what’s going on with this question or the notation used. I sort of understand the gist of what the question is solving for, which I believe is that you’re taking the integral of the gradient to find the OG scaler function, or something like that. Basically, it’s the inverse of the gradient, I think. I was really struggling to understand what was happening initially, so I watched this vid:


I found this vid a bit hard to follow along with. It helped me remember the process of how to solve these types of questions, but I definitely need more practice doing them. Part of the problem is that I’m having a hard time visualizing what’s going on with the math. 😒
Question 3



This question took me ~20 minutes to do and four pages of rough notes. I didn’t trust myself that I was doing the algebra or the integration properly. I got stuck at the end thinking that 33/2 = 9 when really it equals ~5.19. It took me awhile to think through that it’s (3 * 3 * 3)1/2 = 3(3)1/2. After I realized that, I saw that my final solution was one of the given answers and was relieved that I was able to FINALLY work through one of these questions on my own.
Question 4


I got this question correct but guessed and had no clue what was going on. My initial gut instinct of what the question was asking was something like: If you start at the z-coordinate at point A and go around the “fence” (i.e. the line integral), what is the sum of the change in elevation when you get back to point A? The reason why I though that’s what it was asking was because it asks to calculate the line integral of the gradient, which I’m pretty sure is the slope of the top of the “fence” (i.e. Φ(x, y) = sin(x3y)) which, as long as there are no “cliffs” or step-jumps along the top of the fence (a.k.a. the fence is “conservative”), will end up summing to 0. An analogy for this would be like if you go up one side of a hill and come down the other side of the hill, the fact that one side of the hill might be steeper than the other side will be irrelevant when asking about the sum of the change in elevation.
Question 5





I got this question correct on my first try and was shooketh. (The notes above were from my first attempt at answering the question. I didn’t even need to redo them! 😱) After I got through all three integrals, there were six terms left, all of which had different degrees, and I was certain that I’d made a mistake at some point along the way. Also, the answers KA gave had denominators of 70 and, as you can see at the end oy notes, the terms I got to after the final integral were 2/21 – 1/12 – 1/5 … which had denominators that couldn’t multiply to 70, so I assumed I screwed something up. I went back and double checked each integral and it seemed like I did them all correctly, so I then figured out that the lowest common denominator of each term would be 420 (which, by the way, I was able to figure out in my head knowing that 21 = 3 * 7, 12 = 3 * 4 and 5 = 5, ∴ LCD = 7 * 5 * 4 * 3 = 420 😤), then I adjusted all the fractions to have 420 as their denominator, summed them up to get –114/420, multiplied it by 6/6 which equalled –19/70 and was PUMPED to see that as one of the answers. 😭
Question 6



I got this question correct right after the previous one and was even more pumped! It took me ~5 mins to think through what the question was asking and wasn’t 100% sure I had it figured out, BUT I was able to visualize the gist of what was being asked (as in I could see that I’d need to find ((dx)2 + (dy)2)1/2 to find each tiny, tiny length of the line/curve and that f = –y = (–sin(t) – 1) would be the top of the line). I sort of remembered this type of question and the formula that I needed from last week but wasn’t completely sure I had it correct, so I was happy when I ended up getting it right.
And that was it for this week. Not that great, but I guess it could have been worse. I ended the week on 5/16 questions correct, so I’ll be starting off on a good foot this upcoming week. I’m doubtful that I’ll be able to make it through the test by the end of the week, but I do think there’s a chance!
A big reason why I’m even more excited to get through this all now is because of what I hinted at in the intro. I’m SO happy to say that I FINALLY managed to get someone to pay for a 4-week trial run of CodaKaizen! When I say “finally” I mean that it’s been two years since I first started working on CodaKaizen. And to be fair, I only started trying to sell them the program beginning January 5th of this year, so in that sense I haven’t actually been trying that long, but in the big picture, it’s been a LONG time coming. It’s an incredibly validating feeling to have someone pay to try out the program. It makes me think (and hope and pray) that I may actually be able to make it work! In any case, I spent a lot of time this past week sorting things out that I hadn’t bothered with up until now which is why I didn’t spend enough time on KA. I’m hoping that this week I’ll have more time for KA but at the same time, I’m also SO excited to get going on CK. Like I’ve said a million times however, in a superstitious type of way I feel like I NEED to finish KA in order for CK successful. So, as always, fingers crossed I can make some decent progress with KA this week so I can make it happen! 🤞🏼