It was a decent week for me on KA but could have gone better. (If I was to grade it, I’d probably give it a B–.) I made it through the Applications of Multivariable Derivatives unit test which I was happy about, but it wasn’t really that hard and afterwards I didn’t put enough effort in to the following unit test from Integrating Multivariable Functions.👎🏼 Part of the reason for my lack of effort was that I got smoked by the first few questions I attempted on the second unit test and we pretty demoralized because of it. I’m confident that I’ll be able to make sense of these questions soon, but it’s going to take me some time to review everything. That said, I think I’ll be able to make WAY more sense of what’s going on this time through the unit since I have a better grasp on linear algebra. So, all in all, it wasn’t a great week but it also could have been worse. 🤷🏻♂️
I only took two screenshots from questions on the Applications of Multivariable Derivatives unit test this week. Here they are:
Multivariable Calculus – Unit 3 – Unit Test – Applications of Multivariable Derivatives
Question 1



This question was pretty straightforward, although I didn’t do the linear algebra the way KA did in their solution. 😒 I just inputted the coordinates from the first option and saw that the partial derivatives all equaled 0 and I therefore knew it was the correct answer. Looking at KA’s solution, I do understand the linear algebra, I just don’t have strong enough LA skills to have known to solve it that way on my own.
Question 2



Compared to similar questions like this that I talked about last week, this was obviously a pretty simple version of this type of question. BUT, I was still happy to get it correct considering how many of these questions I got wrong over the past week. Generally speaking, solving partial derivatives and partial second derivatives is pretty straightforward for me (in fact, they’re almost fun as long as they’re not too difficult) and using the formula isn’t hard. These questions are only difficult because it’s a matter of knowing what to do, although I do also have a hard time understanding why the math works the way it does.
I finished this unit test on Wednesday evening. Before I passed, I’d made it to the 9th question of 10 and got it wrong and had to restart the test. 🤬 But luckily, I didn’t have to redo any exercises (like I did the week before) and then passed the test on my second attempt in about 20 minutes right after that. I got started on the Integrating Multivariable Functions unit test on Thursday. Here are two questions from it:
Multivariable Calculus – Unit 4 – Unit Test – Integrating Multivariable Functions
Question 3



I had no real clue what I was doing when I was trying to think through this question. In the end, I knew I wasn’t going to be able to figure it out so I just put some random number into the answer box so I could see what KA did to solve it. (The picture from my notes was from notes I took after looking at KA’s answer.) After reading KA’s answer and still no making much sense of the solution, I watched one of the suggested videos titled Path independence for line integrals which helped me understand. Here are some screenshots from that vid:



This video was a bit confusing to me. I didn’t underdstand/follow along with a lot of the notation, BUT I’m pretty sure it helped me understand what’s going on with line integrals. The (x, y) graph drawn in the top left former of the first screenshot is a top down view of a 3D “fence” (so to speak), and the (x, y, z) graph shown in the top right corner of the first screenshot is supposed to represent the “roof” of where the “fence” would come up to. You can see that the roof is wavy, so the idea is that the height of the fence would vary. What I got screwed up on looking at this question initially was that I thought I was supposed to calculating the length of the fence when really I was calculating the area of the entire “fence” which, as I said, varies as you go across it since the height of the “roof” changes as you go along it.
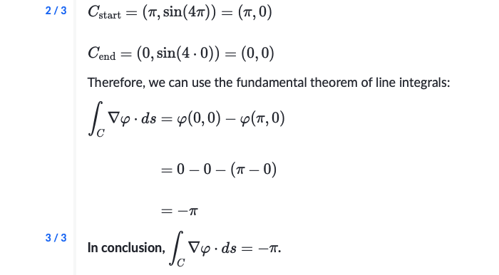
Question 4



I got smoked on this question and had no clue how to solve it. (Again, my notes above were written after looking at KA’s solution. 🙃) I had the general idea of what the question was asking figured out correctly, but I didn’t know what I needed to do/what formula I needed to use to solve it. After looking at KA’s solution, I still didn’t know what to do so I once again watched another one of the suggested videos, this one titled Introduction to the Line Integral:



This video showed me that what I thought was being asked in the question was more-or-less correct. I’m not going to explain what the video talked about here, but I’ll say that the formula the Sal derives, a∫b f(x(t), y(t)) * √((x’(t))2 * (y’(t))2), is the formula to calculate each tiny, tiny little bar of the fence (which was this -> √((x’(t))2 * (y’(t))2)) part of the integral) and the height of each tiny, tiny little bar along the function (this -> f(x(t), y(t)) part for the integral) and then the integral sums them all the little bars up, as an integral does. Also, I don’t like the dx/dt notation so I use x’(t) and y’(t) notation in my notes instead.
And that was all I got done for this week. I think in total I worked through only 3 or 4 questions on the Integrating Multivariable Functions unit test which was pretty pitiful. So, hopefully I can put in a better effort this coming week and make it through this test. Given that it’s the FINAL UNIT TEST I HAVE LEFT IN ALL OF THE KA MATH SECTION…… (😳) I’m pretty motivated to get through it. I think I have a shot at getting through it this week, although there are 16 questions on the test and so far I’ve been getting rocked on them, so I also wouldn’t be surprised if it doesn’t happen this week. BUT, nonetheless, I’ll give it my best shot (hopefully) and maybe be one step closer to finishing all of this off. I’m guessing that I’m less than a month away from being done everything so, as always, fingers crossed I can have a good week and get across the finish line sooner rather than later! 🤞🏼🏁🏎💨