I’m happy to say that it was a fairly successful and productive start to 2026 for me on KA! 🥳 I made it through the first of the three unit tests in Multivariable Calculus that I need to get through, which was the second unit in the course, Derivatives of Multivariable Functions. I got through it on Wednesday after grinding away for probably close to 4 hours. I don’t normally spend that much time on KA, but four or five times I got a question wrong right at the end of the test and had to restart and I was so frustrated/annoyed that I decided to just keep going until I finished the test. (It was also the last day of 2025 and I wanted to end the year on a high note!) I just about had a nervous breakdown but eventually got 21 questions correct in a row and breathed a HUGE sigh of relief. 😮💨 After that, I started the Applications of Multivariable Derivatives unit test but unfortunately didn’t pass it. After having spent so much time working on the Derivatives of Multivariable Functions test, I only spent ~2 hours in total trying to get through this second one, so I’m not surprised I didn’t pass it. The good news is that even though I felt lost on most of the questions, I didn’t actually think any of the questions were that hard, and after looking at KA’s solutions, most of the concepts came back pretty quickly. So, all-in-all I was happy with how this week went and think it was a pretty good start to 2026. 😁
Here are six questions from the Derivatives of Multivariable Functions unit test:
Multivariable Calculus – Unit 2 – Unit Test – Derivatives of Multivariable Functions
Question 1



This question took me about 15 minutes to work through and I was pretty doubtful of my answer when I submitted it. I can do this math and it’s not too difficult for me, but I’m not very confident when I do it — mainly because I never felt comfortable working with limits when I first learned about them and I still feel that lack of confidence even though, now, it seems pretty straightforward. (By the way, I skipped a few steps at the end of my calculation in my notes.)
Question 2



This question took me ~10 minutes to work through. Again, the math wasn’t too hard, but there were a million steps to this question, any of which I could have gotten wrong. Not to mention that the trig at the end was confusing and made me think I messed something up. 😰
Question 3


There wasn’t anything special about this question, but I was happy that I solved fx[2xln(xy)] using the chain rule with a partial derivative. (To be fair, I checked my answer on Symbolab before submitting it, but I’d gotten it correct!)
As a side note — one thing in my intro that I forgot to mention was that I spent ~1.5 hours working on the test on Tuesday and at one point got the 20th and 21st questions wrong and (this part is hard to explain) it meant I HAD to finish the test as 19/21 questions correct which meant I HAD to go back and redo two exercises. 🤦🏻♂️ (This is because if you screw up a question without finishing the entire test, you can simply restart the test and it doesn’t count as getting a question “wrong” and so it doesn’t make you go back and redo the exercise associated with question you got wrong.) I was super frustrated that I had to redo the two exercises but ended up redoing them both that afternoon and then called it a day.
Question 4



I did this question Wedesday morning. It’s a good example of me knowing what I needed to do but not trusting myself that I was doing it properly. The thing that tripped me up was that it seemd weird that ∇f at fx was –6(2t) * 2 = –24t and at t = 2 the whole thing equalled –48, but the y- and z-components of the equation only equalled 4 and 1, respectively. So, it seemed weird to me that the x-component was so much larger (absolutely speaking), but it turned out that I was correct. 🤷🏻♂️
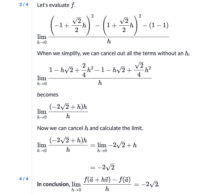
Question 5



I was on the 18th question when I got this wrong. 🤬 I did EVERYTHING correct on the question, but then at the very end I didn’t cancel out the h in the numerator with the h in the denominator so I thought the whole thing equalled 0. (After I realized what I’d done wrong, I crossed it out which you can see in my notes which is probably confusing.) I just about burst into tears when I got this wrong… 🥺
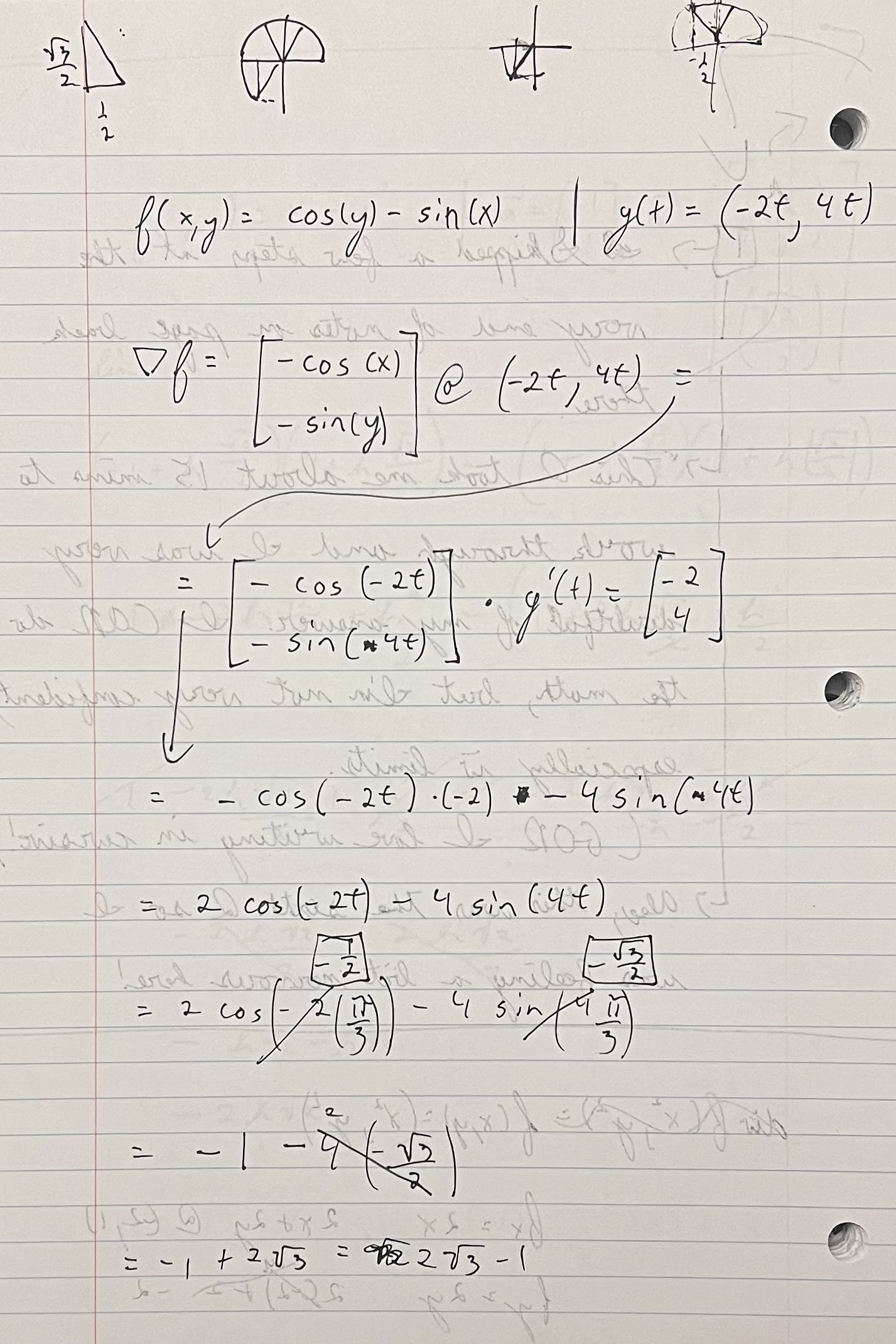
Question 6


This was the final question of the test and I was SO stressed answering it. I was worried that since v ⃗ was (0, 1), I thought I was going to need to do some partial derivative of the limit like KA’s solution in the question just above (Question 5). It turned out that KA did solve it using a partial derivative, but the way I answered it also led to the correct solution.
I finished the test at 5pm on Wednesday night. I started around 3:45pm and failed a few times, and was just about ready to lose my mind. I told myself that I was going to just keep restarting it until I passed, but I was also just about ready to scream/cry/break my computer so if I’d gotten the final question wrong, I likely would have given up for the day. BUT, I got it correct and was able to start the New Year on a high note. 🙏🏼
I started the Applications of Multivariable Derivatives unit test on Thursday and did better on it than I thought I would! There were things that came up that I felt completely lost on, but I was pretty consistently getting 5 or 6 questions correct in a row before messing one up, so I had that going for me which was nice. Here are five questions from the test:
Multivariable Calculus – Unit 3 – Unit Test – Applications of Multivariable Derivatives
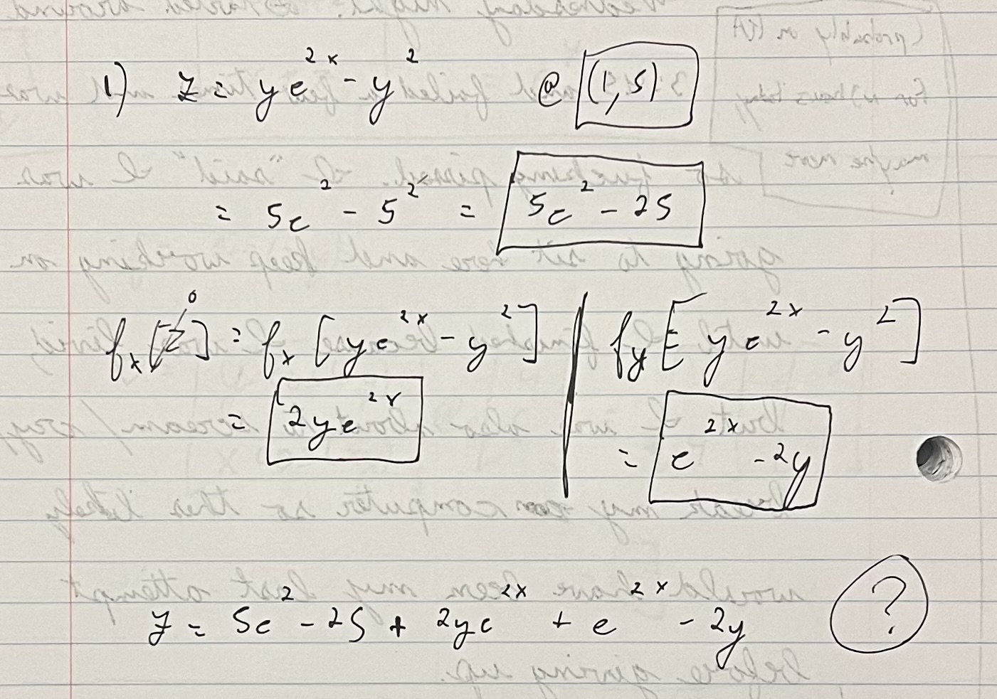
Question 7




This was the first question that came up on the test. I guessed and ended up getting it correct. 😬 I figured that I’d need to find the z-coordinate at (1, 5) which equalled 5e2 – 25 and then assumed I’d need to add fx and fy at (1, 5) but didn’t remember the part about fx(x – a) and fy( y – b). I ended up watching a few videos about this later in the week that helped me remember how it works, but I didn’t take any screenshots of the vids and am not going to try to explain what I watched here. The only thing I’ll mention is that the videos helped me understand that fx and fy are both sort like m in the equation y = mx + b and, in this particular equation, 5e2 – 25 is sort of like b, the y intercept in y = mx + b.
Question 8



Before I answered this question, I cheated by looking up “critical point” on Google which told me that it’s where there’s no slope on a f(x, y) function. After relearning that, it took me a second to realize I needed to calculate the gradient and input the given coordinates. I started inputting the given coordinates into the gradient and it took me until the second set of coordinates before I realize that since the x-component of the gradient was sin(y) + 2, there would always be a slope of at least 2 in the x-direction, meaning that f(x, y) couldn’t have any critical points. Boom. 🧨
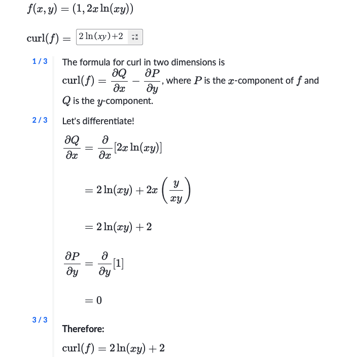
Question 9

I guessed on this question, vaguely remembering that the Hessian Matrix was symmetrical along the diagonal. Not too hard, but I was glad that I was able to remember.
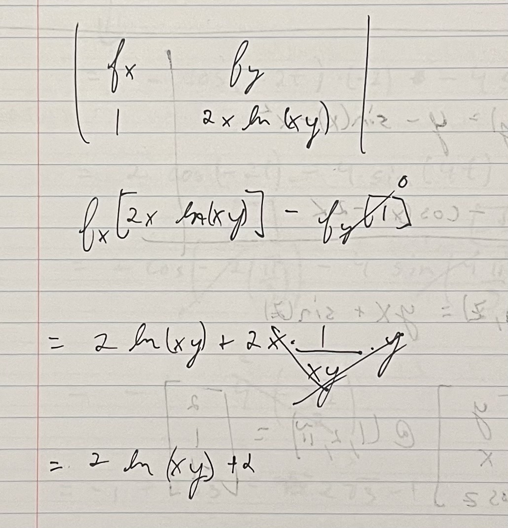
Question 10


In this question, I figured out fxx and fyy but then didn’t know what to do after that. After looking at KA’s answer, I realized the formula you need is pretty simple but I would never have remembered or figured it out on my own. I watched two videos recommended from this question which helped me understand the intuition behind what’s going on with this formula and why it works the way it does. (Again, I didn’t take any screenshots of the vids and am not going to bother trying to explain them here.) Also, one thing I’m not sure about is if the notation H in KA’s solution represents the Hessian Matrix. 🤔
Question 11



As you can tell, this was exactly the same type of question as the one before and this time I got it correct. Like I said, the formula’s not hard to use but between the partial derivatives and the trig, I was still somewhat surprised and happy that I got it correct.
And that was it for this week! I’m officially two unit tests and a course challenge away from completing my goal of finishing the Math section of KA! (~6.5 years later…) I’m confident I’ll be able to at least get through the Applications of Multivariable Derivatives unit test by the end of this week given that 1) it’s only 10 questions long and 2) I’ve already been doing pretty well on it. The following unit test is from the fourth unit of MC, Integrating Multivariable Functions, and it’s 16 questions long so I’m somewhat doubtful that I’ll be able to finish it by the end of the week, but I think there’s a chance! Either way, I’m not too concerned if I do or not and am fairly confident that I’m only a few weeks away from being done everything. 😁
I don’t want to get ahead of myself though so, as always, fingers crossed that I have a productive upcoming week and finish this all off sooner rather than later. 🤞🏼