I’m happy to say that I actually had a VERY good week on KA. I only made it through the Exploring Two Variable Quantitative Data unit test from College Statistics, but afterwards, I finally got back to Multivariable Calculus after all these months and began working on the Derivatives of Multivariable Functions (the second unit of the course) and found it MUCH easier than I assumed I would. The Derivatives of Multivariable Functions unit test has 21 questions so I wasn’t expecting to get through it this week, but I would pretty consistently make it to the 7th or 8th question before getting one wrong and even made it to the 13th once! Considering how long it’s been since I last worked on Multivariable Calculus, I was really happy with what I was able to remember. What made it even better was that most of the questions used linear algebra operations which I found WAY easier to work through this time around having worked through the Linear Algebra course. I remember trying to work through MC months ago (maybe even years ago? 🤔) and being SO confused by the LA operations, so coming back to them now and finding them fairly simple was incredibly gratifying. I ended up writing out 37 pages of notes this week which I’m sure is the most notes I’ve written in a one week in years. So ya, it was a good week and I’m SO pumped to be just about done!
Here are six questions from the Exploring Two Variable Quantitative Data unit test:
College Statistics – Unit 5 – Unit Test – Exploring Two Variable Quantitative Data
Question 1





I got this question wrong not knowing what r2, r, or what the standard deviation of residuals was. I watched the video shown in the third and fourth screenshots above to try to figure those things out but still didn’t really understand. Then I watched the video shown in the last screenshot above and realized that if r is positive or negative then the slope of the least-squares-regression line will be positive or negative respectively. This video also reminded me that if r2 = 1, then all the data points will fit perfectly onto the LSR line and if r2 = 0 then the data points are all over the place and have no correlation to each other and don’t create a LSR line. The final key takeaway for me from this question was that the value of r2, which will range from 0 to 1, is called the Coefficient of Determination.
Question 2




I had no clue how to answer this question so I inputted some random numbers to get it wrong so I could see how KA solved it. After looking at the solution, I still didn’t understand so I watched the video in the final screenshot above to understand it a bit better. I don’t understand why the math works, but using the formula to find the least-squares-regression line is pretty straightforward. My written notes above were more-or-less copied from KA’s solution which I did just to help me memorize the formula.
Question 3





This question was easy, but I hadn’t seen one of these scatterplots in a LONG time so I was glad that I got it correct and was able to remember how to read the data and relate it to r.
Question 4


Again, this was a pretty easy question, but I don’t remember ever seeing a question like this before. I didn’t really know what I was supposed to do but I guessed since it seemed pretty obvious and, boom, got it correct.
Question 5




I cheated on this question by Googling “least squares regression analysis output” which you can see in the last screenshot above. In that screenshot, you can see that the image on the right shows a KA video where Sal has made it clear what each part of the computer output relates to the least-squares-regression equation. Once I knew what each part of the computer output was in relation to the LSR equation, I simply inputted the information and solved for ŷ.
Question 6


I didn’t know what I was doing for this question (or really on any of the questions for that matter) but I was able to remember/think through each of the descriptive words to realize that “strength” was missing from the description. Also, I’d already done a bunch of regression line questions which made understanding what was being talked about in this question easier to grasp. BUT, as you can see, it was the 12th of 13 questions, so I was still pretty stressed guessing what the correct answer was. 😰
I managed to finish the test on Wednesday after ~40 minutes of working on it and got through it on only my second or third attempt. I was pumped to say the least — not only to have finished it but to be able to FINALLY get back to Multivariable Calculus. There are only five units in the MC course, three of which that I need to redo their unit tests to bump up a handful of exercises in the units from 80MP to 100MP. The first unit is Unit 2, Derivatives of Multivariable Functions. Like I said, I didn’t pass the test this week, but here are eight questions from the test:
Multivariable Calculus – Unit 2 – Unit Test – Derivatives of Multivariable Functions
Question 7




I’m pretty sure this was the first question that came up on the test. I initially had no clue what I needed to do and, based on how lost I was, was pretty concerned about how the rest of the test was going to go. After looking at it for a while, it dawned on me that I needed to find the partial derivatives of x and y for each component of the given vector, f(x,y), and then input the partial derivatives with respect to x in the first column of the 3X2 matrix and the partial derivative with respect to y in the second column of the matrix. I realized this because the element (if that’s the word?) in the top right corner of 3X2 matrix was the partial derivative with respect to y of the first element (?) in f(x, y), and then I was able to guess what I needed to do after that.
Question 8

I was very confused when I saw this question and still am. I came up against some directional derivatives questions later on which somewhat helped me remember what’s going on with them, but even now having a better idea of how they work, I still don’t understand this question based on how it’s phrased or KA’s explanation of the solution. It talks about taking the partial derivative of f with only respect to x since v ⃗ = [1, 0, 0] and therefore the output wouldn’t have a y or z component to it. That makes sense to me, but I’m confused as to why it switched from the limit straight to the partial derivative. I don’t understand the connection between the two. The obvious explanation is that a limit IS the derivative but, assuming that’s the case, I forgot that that was true. 🙃
Question 9



At this point, I had no idea what I needed to do to compute the gradient but guessed that I needed to find the partial derivatives of f and input the given coordinates into each partial derivative which turned out to be correct.
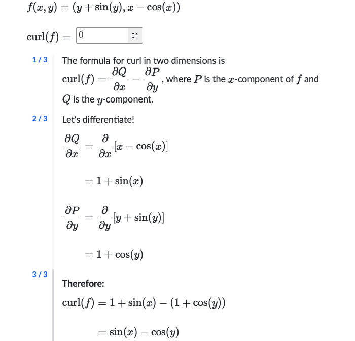
Question 10


I got this question wrong because I forgot how to do the curl operation. Once I saw KA’s answer, doing the math from this question became pretty straightforward and using the curl operation in later questions also became pretty simple.
Question 11



This question wasn’t too hard but I did cheat by double checking the formula for curl of a 3×3 matrix. After reviewing the formula, it took me about two seconds to remember how to do the cross product of a 3×3 matrix which outputs the curl.
Question 12




I got this question wrong. Back in the day, I never really felt comfortable with doing limits when I first learned them years ago. The good news is that now I don’t find the math too hard (you literally just input the vectors into the given formula and solve it), but I’m rusty on vector addition and don’t have much confidence in doing it within limits, partly because I never understood limits well in the first place. Anyways, after copying out KA’s solution in my written notes above, I realized I don’t need to be intimidated by limits since the math is pretty easy, I just need more practice doing them.
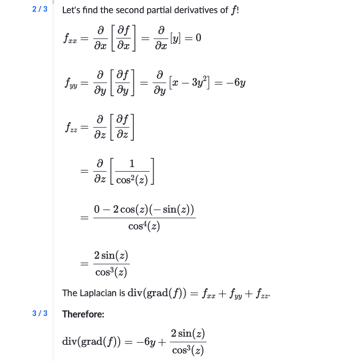
Question 13



I got this question wrong because I had no idea what div(grad(f)) meant. I looked at KA’s solution and had a better idea of what was going on, but then I also watched this video on the difference between divergence, gradient, and curl and their operations which really helped. Once I realized I just needed to take the second derivative of x, y, and z of f(x, y, z) and then add them together, solving this question was super easy. I should probably watch another video or two that explains what the point of this is (a.k.a. solving the “Laplacian”) but for now I’m just happy knowing that this type of question is pretty straightforward.
(Also, I don’t understand KA’s answer for fzz and why it says fz[tan(z)] = 1/cos2(z) instead of sec2(z) or why the derivative of 1/cos2(z) equals 0 – 2cos(z)(–sin(z))/cos4(z). I’m sure they used some trig identity for the second derivative, but I just solved it using sec2(z) as the solution to the first derivative and then solving second derivative to be 2sec2(z)tan(z) which turned out to be accepted as a correct solution when I submitted it as my answer. 🤷🏻♂️)
Question 14


I don’t understand why the math to find the directional derivative of a ⃗ onto v ⃗ works the way it does, however solving the gradient of f(x, y) and inputting a ⃗ into it and then dotting that with v ⃗ isn’t too difficult for me now, so I’ve at least got that going for me which is nice.
And that was it for this past week. Like I said, I was PUMPED to get as much work done as I did. It was definitely a great way to close out 2025. 🥳 I’m guessing I spent close to 10 hours on KA which is likely the most I’ve done in years. It’s hard to believe how close I am to being done! I think I should be able to get through this unit test this week, so it’ll be interesting to see how difficult the other two unit tests are. I’m assuming they’ll be harder but if they’re manageable, I could see me finally finishing this all off by the end of January. Oddly, part of me is actually a bit sad that I’ll be done with it all, but my plan is to work through the English section of KA next, so the journey won’t be over! And I’ll be glad to bring this chapter to a close which after 330 weeks of working on KA, is frankly overdue. 😮💨
As always, fingers crossed I can have a productive week this coming week and get through it all sooner rather than later! 🤞🏼