It was another disappointing week for me on KA. 😒 I think I only spent around four hours working through the Integrating Multivariable Functions unit test and made pretty much no progress. There were some questions on the test where I simply had to solve multivariable integrals which are relatively easy to do (although there are a million steps which means it’s easy to make a careless mistake) and I actually like doing those questions. But the majority of the questions have to do with understanding the big picture of what’s going on with integrating scaler fields, vector fields, solving surface integrals, etc. and I can’t visualize what’s going on with the equations. 👎🏼 So, after getting my butt kicked for most of the week, I decided that I need to go back and review everything in the unit. I realized that the majority of the unit is made up of articles (24 articles, to be exact.), so I’ve made the decision that I’m going to reread all the articles to try and wrap my head around what’s being expressed in the equations/integrals so that I can (hopefully) visualize the big picture of what’s going on. Given how close I am to finishing this all off and how long I’ve been working towards it, I’m praying to all the math gods that the articles will make everything seem clear and I can FINALLY get through this! 🙏🏼
Here are seven questions I worked through on the unit test this week:
Multivariable Calculus – Unit 4 – Unit Test – Integrating Multivariable Functions
Question 1


I did a change-of-variables question similar to this one last week (or at least I thought it was similar) where I had to solve an integral where after a change of variables. In that question, I had to find the Jacobian, J(X1, X2), and then multiply it by f(X1, X2), so that’s what I thought I needed to do here. Clearly you can see I didn’t add my notes, but I found the Jacobian (which was ¼) and multiplied it by f(X1, X2) which ended up giving me –uv/4 – v2/4 (although I think I screwed that up), but that wasn’t one of the options. I went with option c) since that was the closest answer to what I had and it turned out to be correct. After looking at KA’s answer, I realized I didn’t need to use the Jacobian… So now I’m not sure when I should or shouldn’t use it. I’m guessing that you use the Jacobian when changing variables within an integral, but I have no idea… (Hopefully I’ll figure it out after I reread the articles. 🤞🏼)
Question 2



I got through this on my first attempt which I was happy about. I wasn’t super confident that I had it correct, not because I thought I did anything wrong, but just because there were a million steps where I could have gotten something wrong. (To be honest, I did put the equation into Symbolab to double check my answer after I worked through it, but it turned out that I had gotten it correct.)
Question 3




This was another question that wasn’t that hard but I’m still happy/proud of myself that I can do these integrals. I did it on my first try in about five minutes.
Question 4


I had no idea how to solve this question and just picked a random answer which turned out to be correct. 😕 Looking at KA’s solution, I understand the gist of what you do to solve it, although the algebra is a bit confusing to me. I understand that when y = 1 in the (–) and (+) bounds of (4 – (y – 1))1/2, you’re left with x = –2 and 2. I also understand that the equation for a circle is x2 + y2 = r and therefore y = (r + x2)1/2, but I still have a hard time putting it all together in my head when looking at the bounds with respect to x in the solution. Anyways, I also had no clue that I was supposed to draw out the circle and probably wouldn’t have been able to do it given the OG integral even if I had known. (I think with some practice I won’t have too much trouble with these types of questions though.)
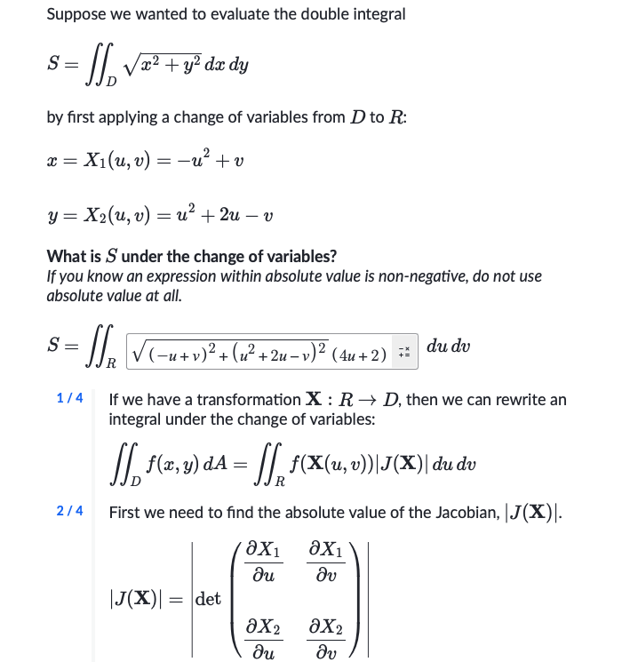
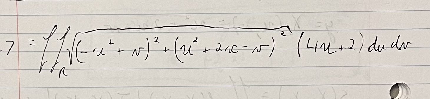
Question 5




I did this entire question correctly except that when I wrote out the equation for X2 at the very start, you can see that I put (+ v) at the end instead of (– v) and therefore the value of the Jacobian I got was (4u + 2) instead of 2. 🤬
Question 6




I guessed and got this question correct. 🙃 I have no clue what’s going on (as in I can’t visualize what’s happening) but I have a vague idea of how to do this. I sort of remember watching videos about the spherical coordinates being functions of sin, cos, p, Φ, and θ, but I don’t remember it that well. I also don’t remember why you have to ‘scale’ the integrand using the Jacobian which I think is a big part of my lack of understanding. The worst part is that I don’t even know what the question is even asking and no idea what y3z represents. Is it a scaler field inside of the sphere? Is the integral measuring volume? Or vectors? Or…? I have no clue. 😔
Question 7





My notes above make it look like I got this question correct but I didn’t. I was able to more-or-less remember how to solve this getting to |Tu X Tv| and putting the î, ĵ, and k̂ vectors into (a2 + b2 + c2)1/2 to get (206)1/2, but then I didn’t know what to do after that. I thought the equation I needed was ∫ f(T) (|Tu X Tv|)dudv which was correct, but the question didn’t give me f(x, y) so I was stuck. As you can see from KA’s answer, it turns out I was just supposed to put f = (1) into the integrand. I was annoyed that I got this question wrong, but the truth it I barely remembered what I was supposed to do with |Tu X Tv|, so even if had known or guessed that I needed to put (1) into the integrand, I really had no clue what was going on. This was the last question I did before I decided I to go back review all the articles.
I only made it through the first two articles by the end of the week and didn’t make any notes on them. Initially I couldn’t understand what the articles were saying, but after rereading two or three times, I started to figure out what they were talking about. I’m hopeful that 1) it won’t take me too long to get through all the articles, and 2) that I’ll actually be able to understand them and that they’ll make this unit test much easier to get through.
And that was it for this week. Like I said, pretty bad overall but I did get some work done and made a bit of progress understanding some of what came up on the unit test. I’d be PUMPED if I could get through all the articles this coming week, but I think that may be a bit of a stretch. I’d need to get through around 3.5 articles per day, which is possible but unlikely. Still, I’m pretty motivated right now to finish this before I turn 90 years old, so hopefully I can capitalize on this motivation and somehow get through all the articles by the end of the week. As always, fingers crossed! 🤞🏼