It was not only a bad week for me on KA but also in life, in general. The health issues I’ve been dealing with for the past year-and-a-half were kicking my ass and on top of that, I also got lit up at my job this week. I’m not going to go into the details of anything, including the videos I worked through this week on KA. All I’ll bother saying is that I only watched four videos this week, but the silver lining is the notes I made on them were actually pretty decent. So, since my notes do a decent job explaining the vids, I’m not going to explain anything further about the four vids I watched this week and am just going to let my written notes do the talking for me.
Video 1 – Dirac Delta Function







Video 2 – Laplace Transform of the Dirac Delta Function






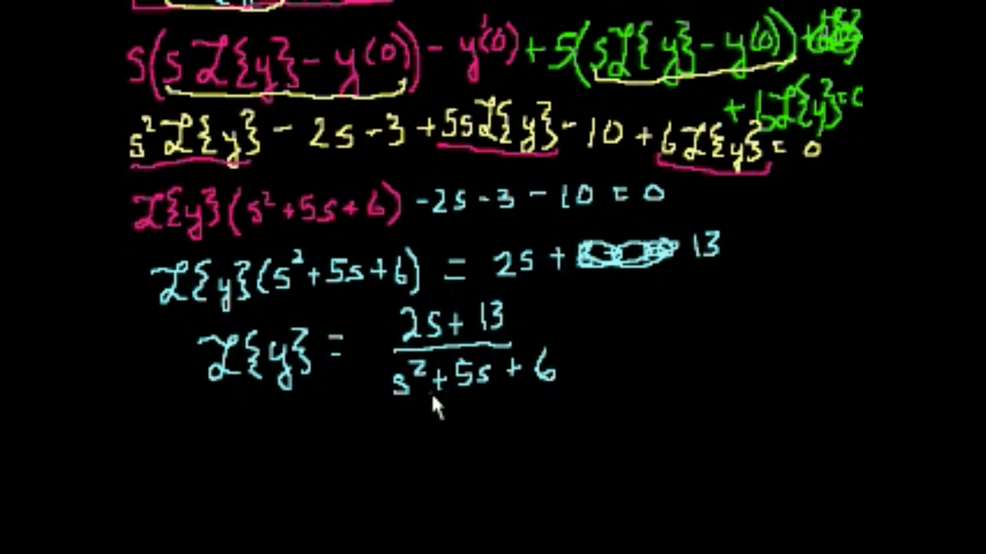
Video 3 & 4 – Laplace Transform to Solve and Equation (** Part 1 and 2 **)









The only thing I’ll say regarding the videos I watched is that it was just more of the same from the past few weeks. I don’t really know what’s going on at all, but I’m at least able to follow along with Sal as he works through the algebra, calculus, trig, and LA.
I’m very disappointed in myself that I didn’t make more of an effort this week or even on this post. But to be fair, I haven’t felt as depressed as I do right now since I was 27 and on the verge of suicide. (I don’t feel suicidal right now, but I’m feeling shitty to say the least.) I also don’t have much hope that things are going to get better for me health-wise, not to mention that I don’t feel like I’m making much progress in life in general these days. I wish I wasn’t being such a negative Nancy, but that’s where my state of mind is at right now and I’m using this post as an opportunity to vent… In any case, I only have five videos left to get through in Differential Equations, at which point I’ll have officially completed all the videos and exercises on KA that were available to me as I worked through them beginning 300 weeks ago. There’ve been a few videos/exercises added to certain playlists since I began, so I’ll probably go back and do them once I’m done the MC course challenge. But even including that, I think I’m only a few weeks away from finishing this all off. So even though I feel like shit right now, I’ve at least got that going for me which is nice. 👍🏼