The bad news is I once again didn’t understand pretty much anything of what I watched this week, but the good news is that I watched the five remaining videos in Differential Equations meaning I finally “finished” every single unit in the Math section of KA. When I say “finished”, I mean that I officially made it through every single exercise, video, and course challenge that were available to me when I was going working through each unit. There’ve been videos and exercises added to most of the units since I started, so my plan now is to go back and do them. BUT, that doesn’t take away from the bigger picture of that… I FINALLY FINISHED! The fact that I got through the last video in my 300th week of working on KA is more satisfying than I can put into words. I’m disappointed that I didn’t understand much of what I learned this week—or for the past few weeks for that matter—but I’ve made peace with it and, as I’ve said over the past few weeks, I’m assuming that differential equations will make more sense when I get to them in Physics. As for now, I feel like I’ve reached the “end” of this Math journey but now need to go back to fill in the gaps that were created by the new videos and exercises added to KA. (Which, fingers crossed, will hopefully be much easier than differential equations. 🙏🏼)
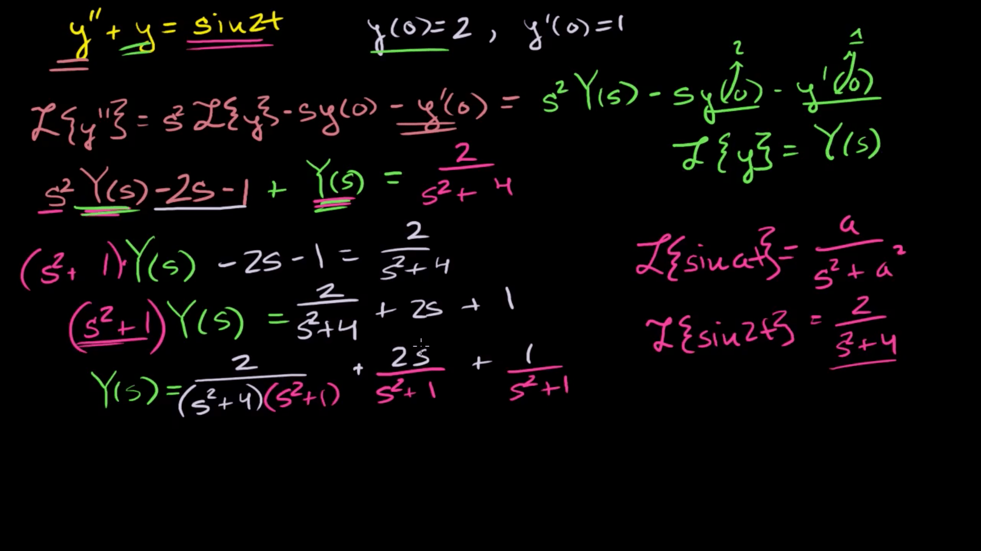
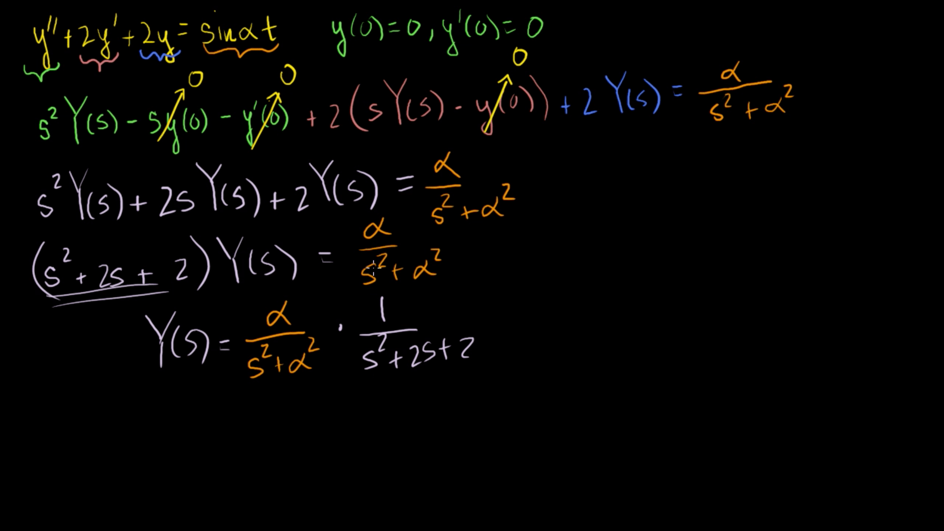
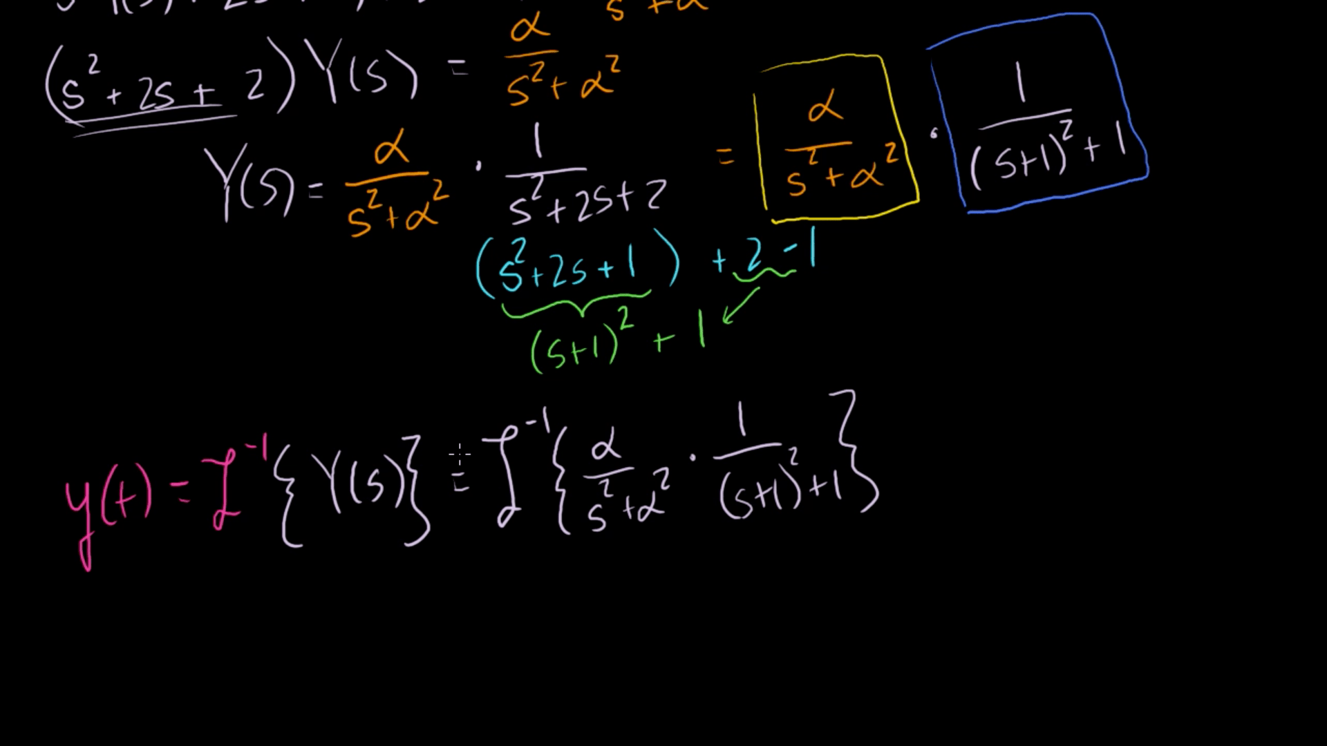
Video 1 – Using the Laplace Transform to Solve a Nonhomogeneous Equation








I just decided that this post is going to be like the last one in that I’m essentially just going let my written notes do the talking for me. Reading through what I had written to solve this question (which I just copied out along with Sal as he worked through it), I don’t know what’s going on with it in the big picture. The silver lining is that I was more comfortable using LT’s this week, in general, and in the question, in particular, because I had memorized the patterns of how to solve them and a few of the solutions for the trig LTs. I also found the partial fraction expansion easier to work through this week although, again, I have no clue what’s going on partial fraction expansion in ht bigger picture. That said, there was no point when Sal used trig, calc, LA, or algebra that I didn’t felt like I knew how he was doing the math, so I’ve at least got that going for me which is nice.
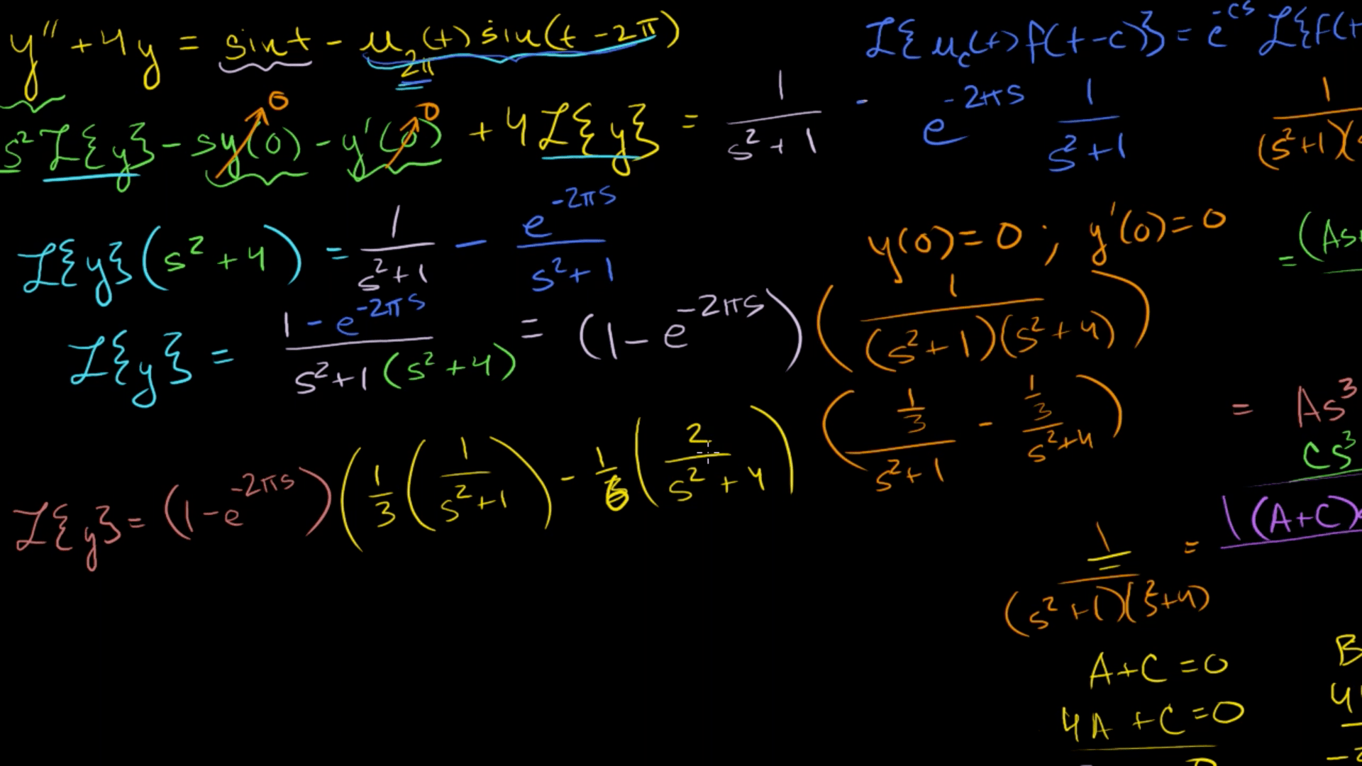
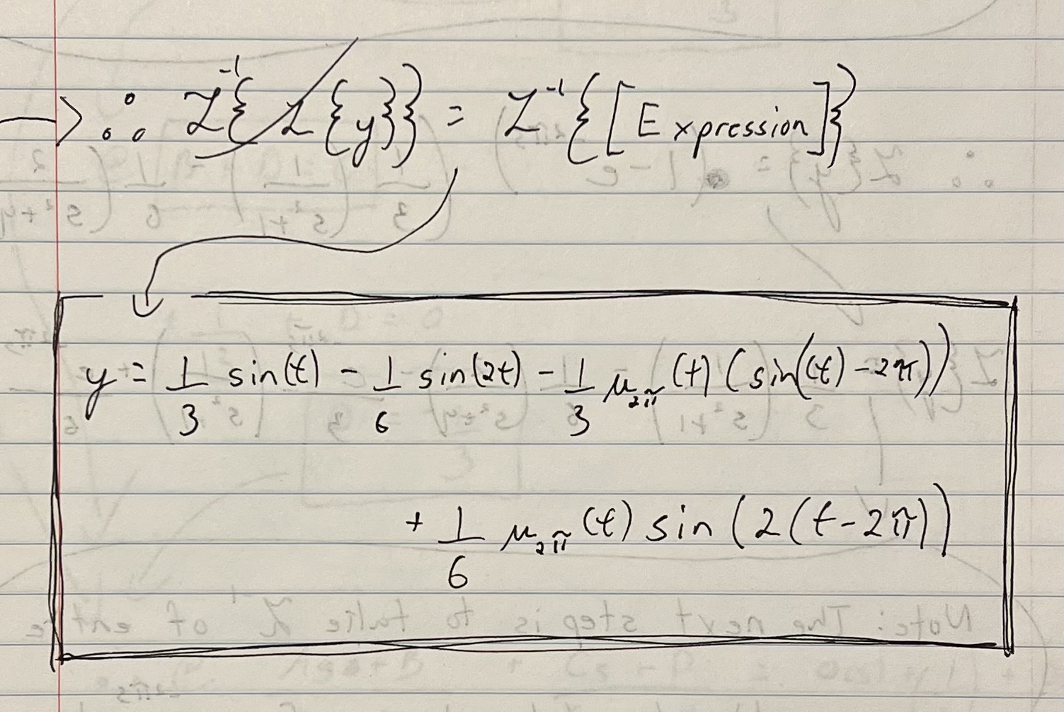
Video 2 – Laplace/Step Function Differential Equation









I don’t remember/know what’s going on with this question so I’m not going to try to force an explanation. And actually, I’m not going to try and explain any of the following three questions for the same reason. 🙃
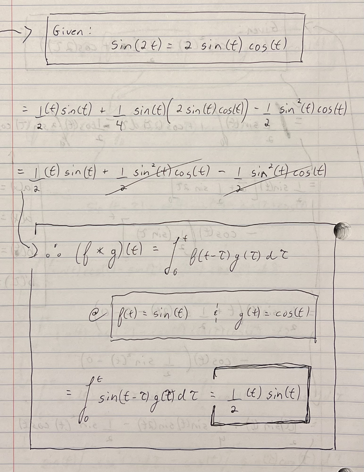
Video 3 – Introduction to the Convolution









Video 4 – The Convolution and the Laplace Transform






(This isn’t shown in the photos of my notes above, but after finishing this question I literally wrote, “I’ve never had less of a clue of what’s going on than right now, but I don’t care and just want to move forward.”)
Video 5 – Using the Convolution Theorem to Solve an Initial Value Problem







And that was it for this week. The one good thing is that I think I made a solid effort at writing out my notes, even though I didn’t know what was going on. I think making that effort does make a difference in me retaining what’s being taught and possibly in me making progress understanding what’s going on—even if though it wasn’t much this week. So ya, even though I felt WAY out my depth in DE, I’m not too upset and am just happy to be done with it. As I mentioned, I’m guessing differential equations and Laplace Transforms will make more sense if/when I see them in Physics, especially if they’re contextualized in a more real-world, physics-y type of way. So in that sense, I’m actually (slightly) looking forward to working on them again, but am at the same time happy to be done with them for now.
I’m excited to go back through KA and work on some easier stuff. I still have to do the Multivariable Calculus course challenge, but I’ve decided to start from the beginning in Algebra 1, finish the new videos and exercises there, and then work my way through the units in chronological order back down to MC. It would be great if I could get through them all in the next three months—i.e. the end of my sixth year on KA—which I think is doable. But regardless, to say it one more time, I am PUMPED to be through DE and SO close to reaching the end of this almost six-year journey. 😮💨