It wasn’t a great week for me on KA, but it could have been worse. I made it through five videos and struggled to understand pretty much everything that was taught. In terms of doing the math (i.e. knowing how to perform the algebra, trig, and calculus operations) I was more-or-less able to follow along with what Sal was doing. But in terms of know what the hell was happening, I was way out of my depth. Considering how lost I felt, I’m actually somewhat happy with what I was able to get done. My goal was to get through seven videos so I fell short of that BUT, having got through five vids, I now only have nine vids left in the course. This means I’m probably two weeks away from being done Differential Equations, so I’ve got that going for me which is nice. The light at the end of the tunnel is getting brighter! 🌄
Video 1 – “Shifting” Transform by Multiplying Function by Exponential







In this Laplace Transform, Sal explained how to take the LT of a double derivative, y’’, and find it’s… equation? I honestly don’t know… BUT, I know that you take the LT of a single derivative, L{y’} = sL{y} – y(0), and nest it inside the equation for the double derivative:
- Single derivative:
- L{y’} = sL{y} – y(0)
- Double derivative:
- L{y’’} = sL{y’} – y(0’)
- Therefore:
- L{y’’} = s(L{y} – y(0)) – y(0’)
Not that I understand what that means, but that’s how you do it… 😬 Anyways, you can use the same method to solve for triple derivatives, quadruple derivatives, etc.
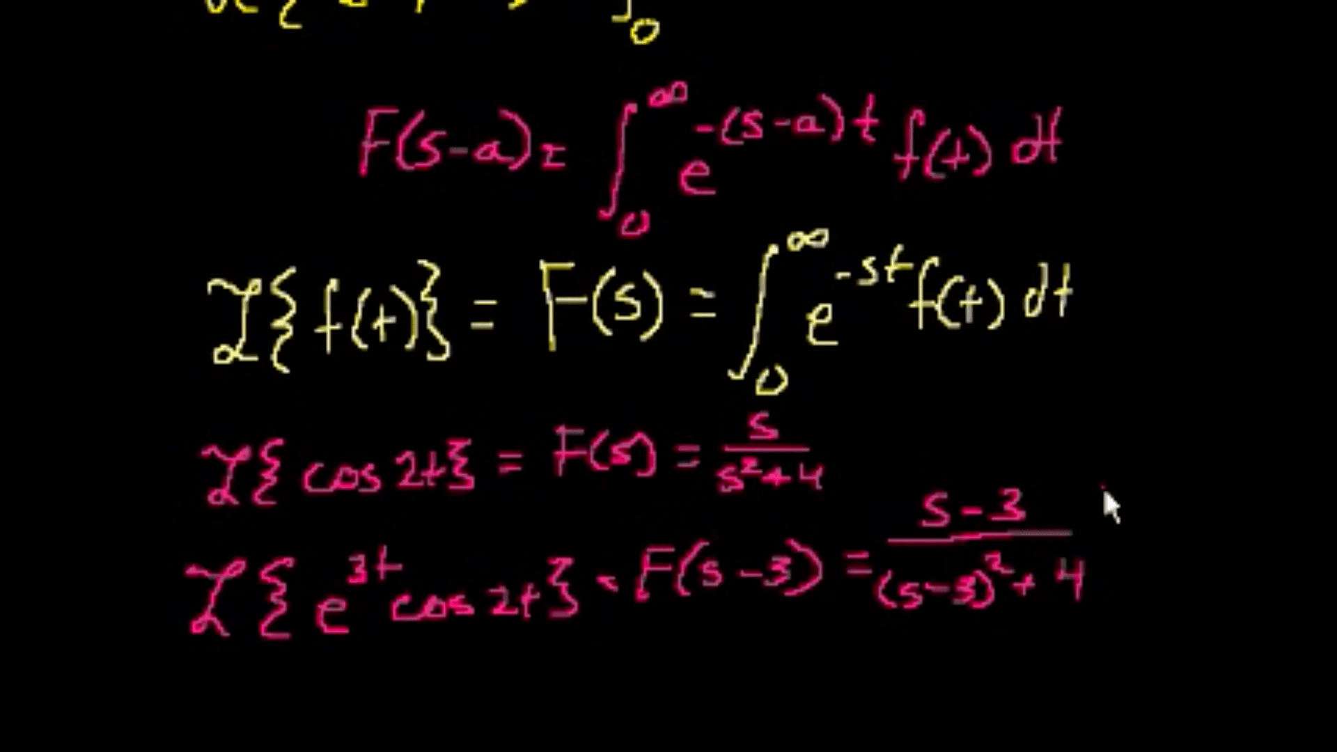
The second part of the video showed the LT for L{eatf(t)} = F(s – a) 0∫∞ e–st f(t) dt. I’m not going to try to put into words the algebra used to find the LT, but you can see in my notes how it’s done. The third screen shot above is confusing as it seems to me that the bottom equation for L{f(t)} should have been put at the top of the equation as a ‘given’ used to solve the rest of the LT. Also, Sal used the L{eatf(t)} equation to solve for L{eatcos(2a)} and at some point said he had proven that L{cos(2a)} equals s/(s2 – 4) but I don’t remember him doing that LT, so I think KA must have switched the vids in the playlist around or something. In any case, he went on to prove that L{e3t cos(2a)} = (s – 3)/( (s – 3)2 + 4), but I was very confused the entire time so I didn’t write anything in my notes about it.
Video 2 – Laplace Transform of t: L{t}


In this video Sal proved that L{1} = 1/s and L{t} = 1/s2, but he already proved these LTs in other vids so (again) I didn’t rewrite any notes on their derivations. The resolution of this vid was way higher than the previous vids in the playlist, so I’m assuming the first vids on these LTs were done a long time ago and Sal just wanted to redo them with higher quality.
Video 3 – Laplace Transform of tn: L{tn}




For this vid and the next two, I’m going to let my notes do the talking and not bother trying to give more explanation of what’s going on—because I don’t really know… Like I’ve said a thousand times, I can follow along with how Sal solves these questions and can keep up with the algebra and calculus, but I have no clue what the bigger picture is of what’s going on or why this math works. However, I’ll note that the LT for L{tn} is equal to n!/sn + 1.
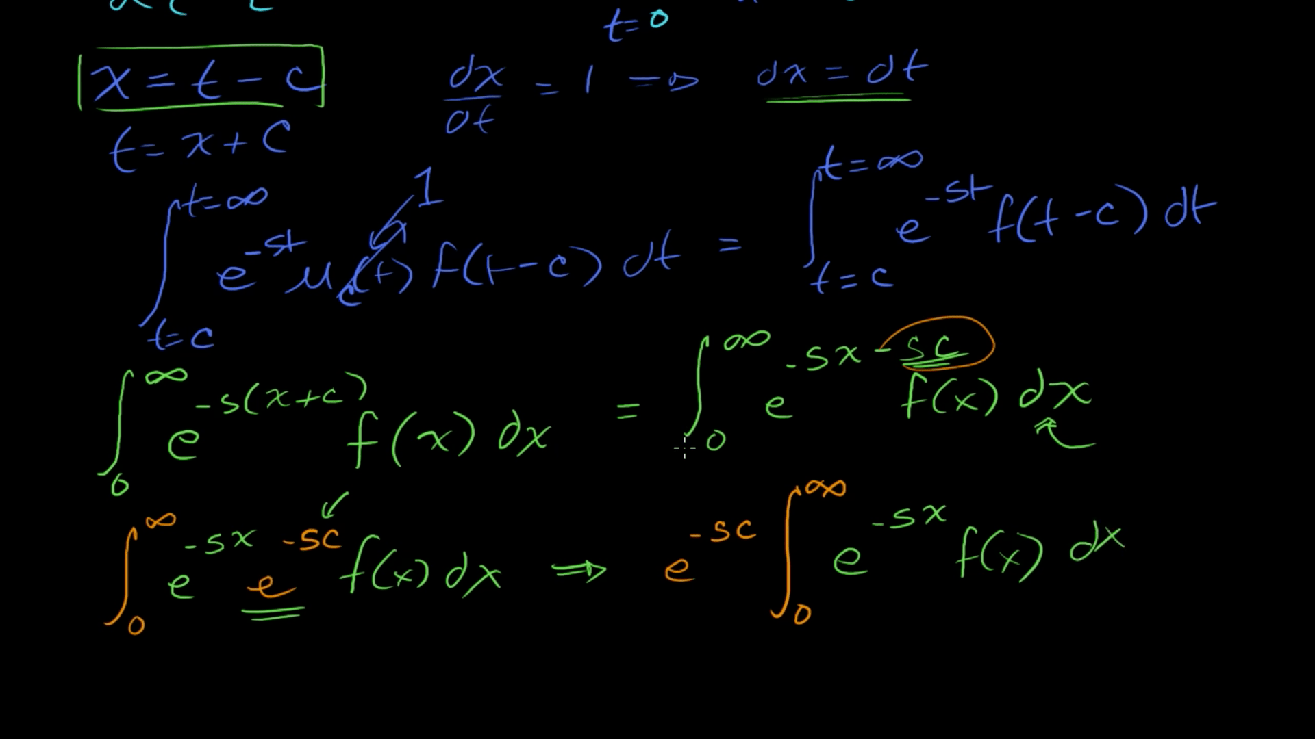
Video 4 – Laplace Transform of the Unit Step Function






I’ll let my notes speak for themselves here.
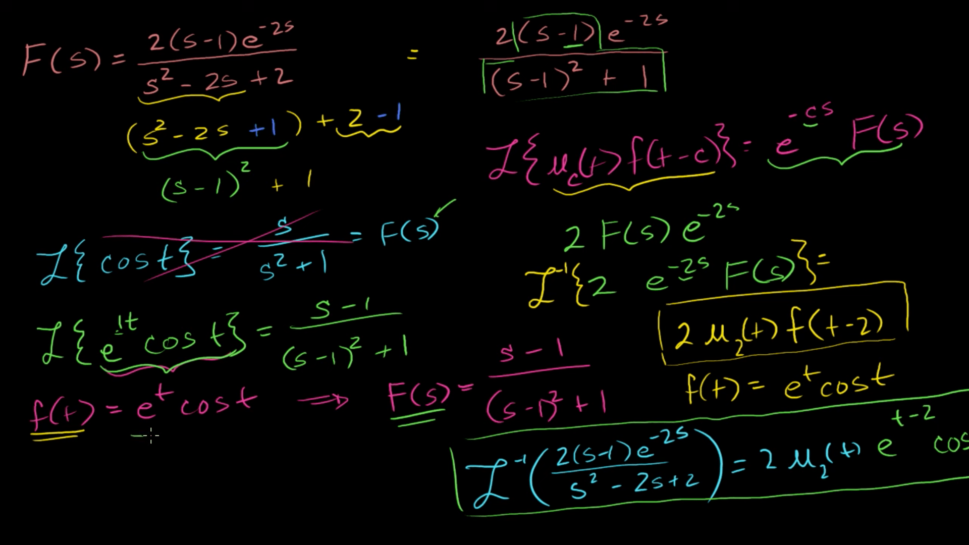
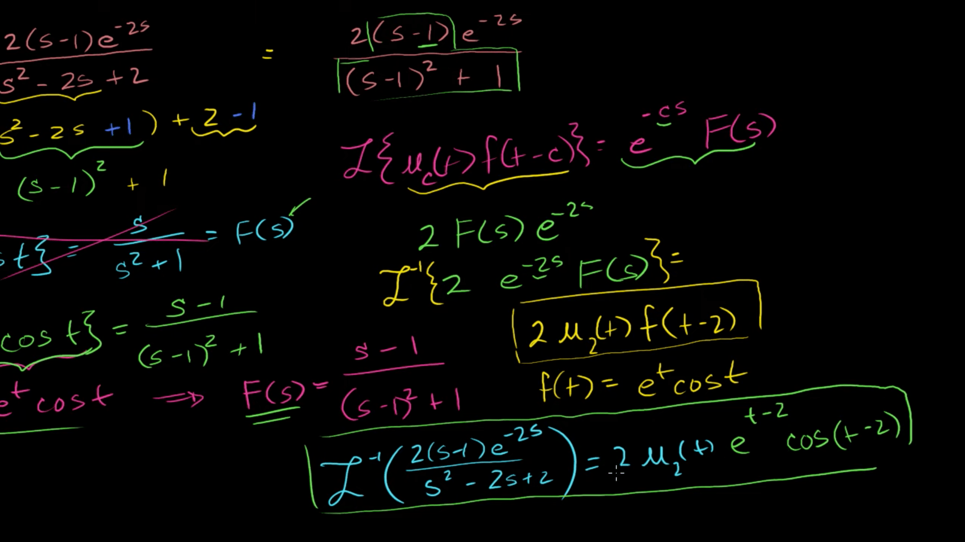
Video 5 – Inverse Laplace Examples






Again, I’m going to let my notes speak for themselves here. I find it all very confusing, but the very faint silver lining is that I think I made a bit of progress at least understanding how LTs nest into each other and can be combined to use pattern matching with certain functions to simplify their solutions.
So, ya… that was it for this week. As you can tell, I’m way out of my depth but I also think it could be worse. I can at least do the math and feel like my calculus, algebra, and trig skills are pretty legit. And—as I’ve said in the last few posts—I’m guessing that when these LTs are used in physics, they’ll be a bit easier to wrap my head around at that point. It’s possible that I’ll be just as confused, but every other time I’ve had to ‘go back’ and review a sub-subject within math, it’s always seemed much simpler when I review it. Either way, I’m SO ready to move on to physics that I’m not too bothered by the fact that I don’t know what’s going on with LTs. And speaking of moving on, given that I only have nine vids left in DE and only the course challenge left in MC, I could be a month away from finishing off the math section of KA. I’M SO CLOSE!! Fingers crossed I can get through most of the nine vids this coming week. 🤞🏼