I’m somewhat surprised to say that for the second week in a row I had a pretty decent week on KA. I got through six videos and the bad news is that much of what I watched went over my head, but the good news is that I spent at least five hours watching the vids and making notes on them. AND the notes I made were actually pretty good. So even though I’m disappointed I wasn’t able to understand a lot of what I watched, I’m at least happy with the effort I put in. 😮💨 This week I started the third and final unit of Differential Equations which was titled Laplace Transform. I may have missed something, but it seemed like Sal spent about two seconds explaining what Laplace transforms are and then got straight into showing how to do LTs. I always find that once I figure out how to do certain types of math, it makes it WAY easier to understand what’s going on and why the math works, so I can see the value in going straight into working through how LTs are solved. But still, I definitely felt out of my depth this week—like I had even less of a clue as to what was going on than usual. 😒 BUT, like I mentioned, I took some decent notes and am optimistic that I’ll figure LTs out eventually. 🤓
Video 1 – Laplace Transform 1




The sentence you can see in my first page of notes above is essentially all I was told about what a LT is. (Or at least that’s all I remember being told.) So I know that an LT is a way to transform one type of function into another type of function—often a function of time to a function of frequency. Other than that, I don’t really know what’s going on with LTs, BUT I do know that the general equation is:
- L{f(t)} = 0∫∞ e–st f(t) dt
I don’t know where e–st comes from or why the equation is the way that it is.
After going through that brief explanation of what the LT is and what its general equation is, Sal then went on to prove the LT of L{1)} which turns out to equal 1/s. Again, I don’t know what this means, but apparently it’s good to know.
Video 2 – Laplace Transform 2



In this second vid, Sal worked through the LT of L{eat} and proved that it equals 1/(s – a) but only when a is less than s. If a is greater than s, it results in the function going to infinity.
(This will be the last time I say this, but again, I have no idea what any of this means. 🙃)
Video 3 – L{sin(at)} – Transform of sin(at) AND Part 2 of the Transform of the sin(at)






This explanation of the LT of sin(at) was shown across two videos but I combined them here for this post. Like most of the math I’ve done over the past few weeks, I was able to follow along with the algebra, trig, and calculus as Sal worked through this proof, but I didn’t/don’t understand the bigger picture of what was going on. Nonetheless, it was still helpful practice to review the integration-by-parts method of integration. It turns out that the LT of sin(at) is y = a/(a2 + s2) and knowing that makes solving the cos(at) much simpler as you’ll see in the last video below.
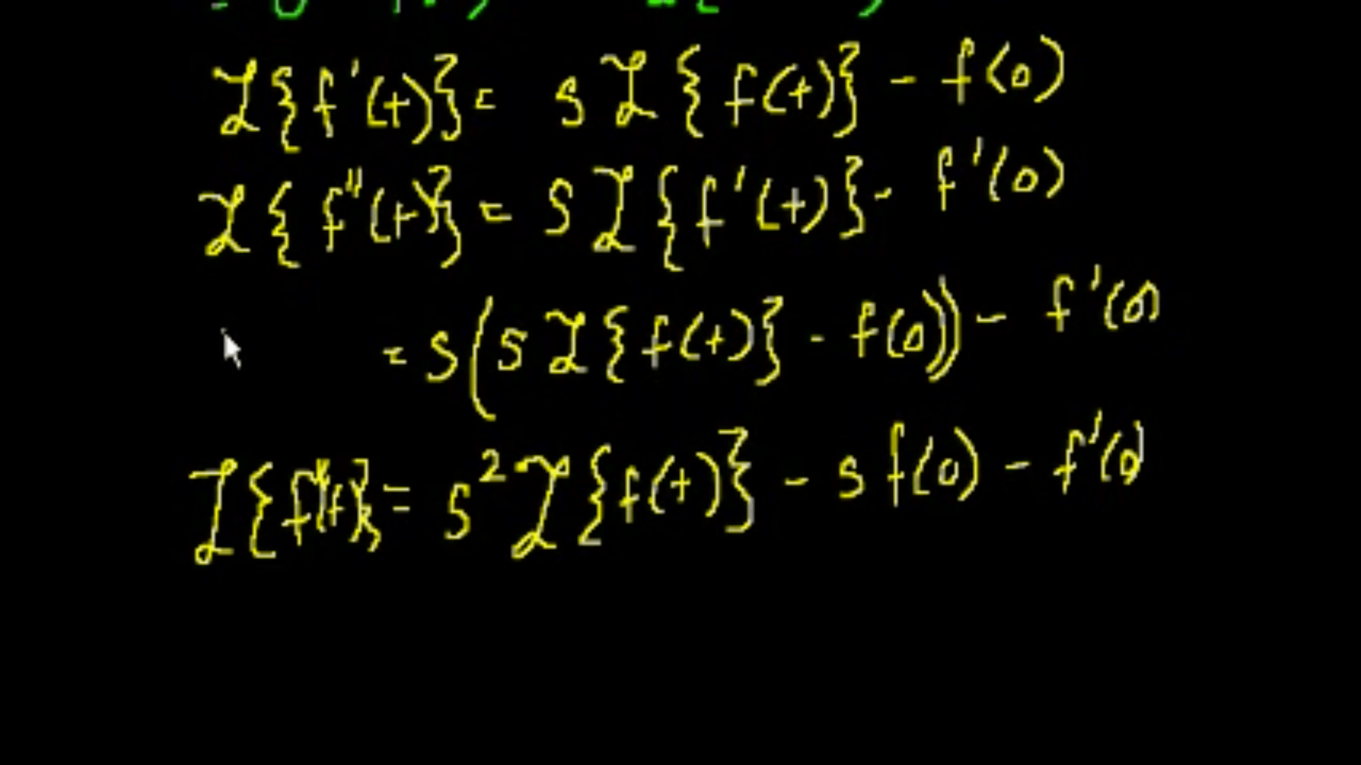
Video 4 – Laplace as Linear Operator and Laplace of Derivatives





In this vid Sal first explained how you can add the functions in the LT before or after the LT and the solutions will still be the same. (I’m pretty sure I said that wrong, and the point I was trying to make may not even be correct.) In the second half of the video, Sal goes on to prove that the LT of f’(t) equals:
- L{f’(t)} = s0∫∞ e–st f(t) dt – f(0)
I think I’m definitely missing something, but I can’t see how the first half of the video relates to the second half of the video. I’m pretty sure how they relate is staring me straight in the face, but I can’t see it… I think it may be that you use integration by parts to evaluate both expressions at ∞ and 0 and then combine the antiderivatives into one expression… But ya, I have no clue what’s going on or what I’m talking about…
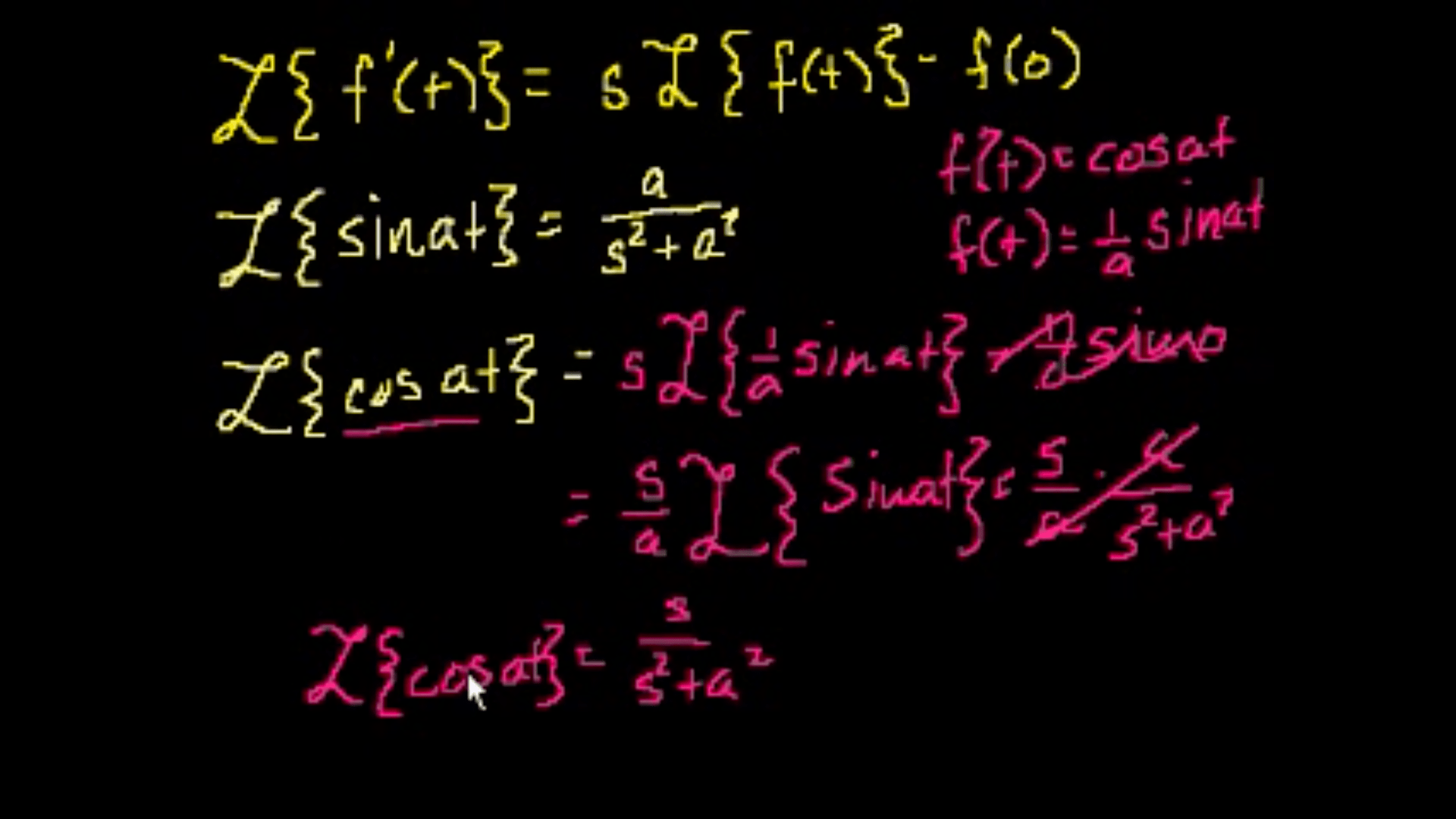
Video 5 – Laplace Transform of cos(t) and Polynomials





As you can see, this final video I worked through this week started by showing the proof for the LT of cos(at). You can see in my first page of notes that you use the equations for the LTs of f’(t) and sin(at) to simplify the proof. In the second half of the vid, Sal went on to prove that the LT of t2 is 1/s2, and that you can derive a formula for the LT of tn which ends up being:
- L{t2} = n!/s(n + 1)
So ya… even though I don’t know what’s going on, I now know a handful of formulas for LTs, so I’ve at least got that going for me which is nice.
And that’s all I got done this week. Clearly not the best week I’ve ever had, but like I said at the start, I’m at least happy with the effort I put in—especially considering I didn’t have much of a clue as to what was going on. I think I was more motivated this week than I’ve been in a long time because I’ve realized just how close I am to finishing this all off. I have 14 videos left to get through in Differential Equations, so I could potentially get through the course in two weeks, or three at the most. Assuming that’s the case, it’s possible I could finish off the MC course challenge in a week or two after that, meaning after just over 300 weeks, I will FINALLY have achieved my goal. So ya, now I’m pretty pumped to get it all done. This week, my goal is to get through seven videos. Fingers crossed I can make it happen. 🤞🏼