I’m happy to say that this week I finished the final six videos in the Second Order Linear Equations unit in Differential Equations, so I’m officially on to the last unit of the course, i.e. the last unit I have in the Math section of KA. 😳 The bad news is that the videos I worked through this week were still very confusing to me… Just like last week, I was able to follow along with Sal as he worked through the algebra, trig, and calculus, but I definitely don’t understand the bigger picture of what’s going on or why the math works the way it does. As I also said last week, my hope is that when I get into the Physics section of KA these equations will be used, at which point I can review/practice using them and get a better grasp on how they’re applied in real-world scenarios. Nonetheless, I’m happy that I can at least understand how to do the math, and am PUMPED to be starting the final unit. I’M SO CLOSE!! 😭
Video 1 – Repeated Roots of the Characteristic Equation







This was the second last video in the section Complex and Repeated Roots of Characteristic Equation. I had a hard time understanding what was going on as I worked my way through this vid and am having an even harder time trying to remember now. The point of this vid was something like: if you have a characteristic equation where both terms are equal (in this example, r = -2)—i.e. a repeated root—then you have to do the fancy algebra shown in my notes above. You start by stating that instead of y = C1erx you say y = v(x)erx, and then take the derivative and second derivative of v(x)erx, input those derivatives back into the OG 2ndOLHDE and then simplify. When you do that, you’re left with the equation y = C1erx + C2xerx with the key difference being there’s an x in the second term on the right side of the equation. This equation is what you use every time you have a repeated root no matter what the root is.
Video 2 – Repeated Roots of the Characteristic Equation Part 2




This video was just an example of what was explained in the video above. The math isn’t too difficult to do, but I don’t know what the solution means. 🤷🏻♂️
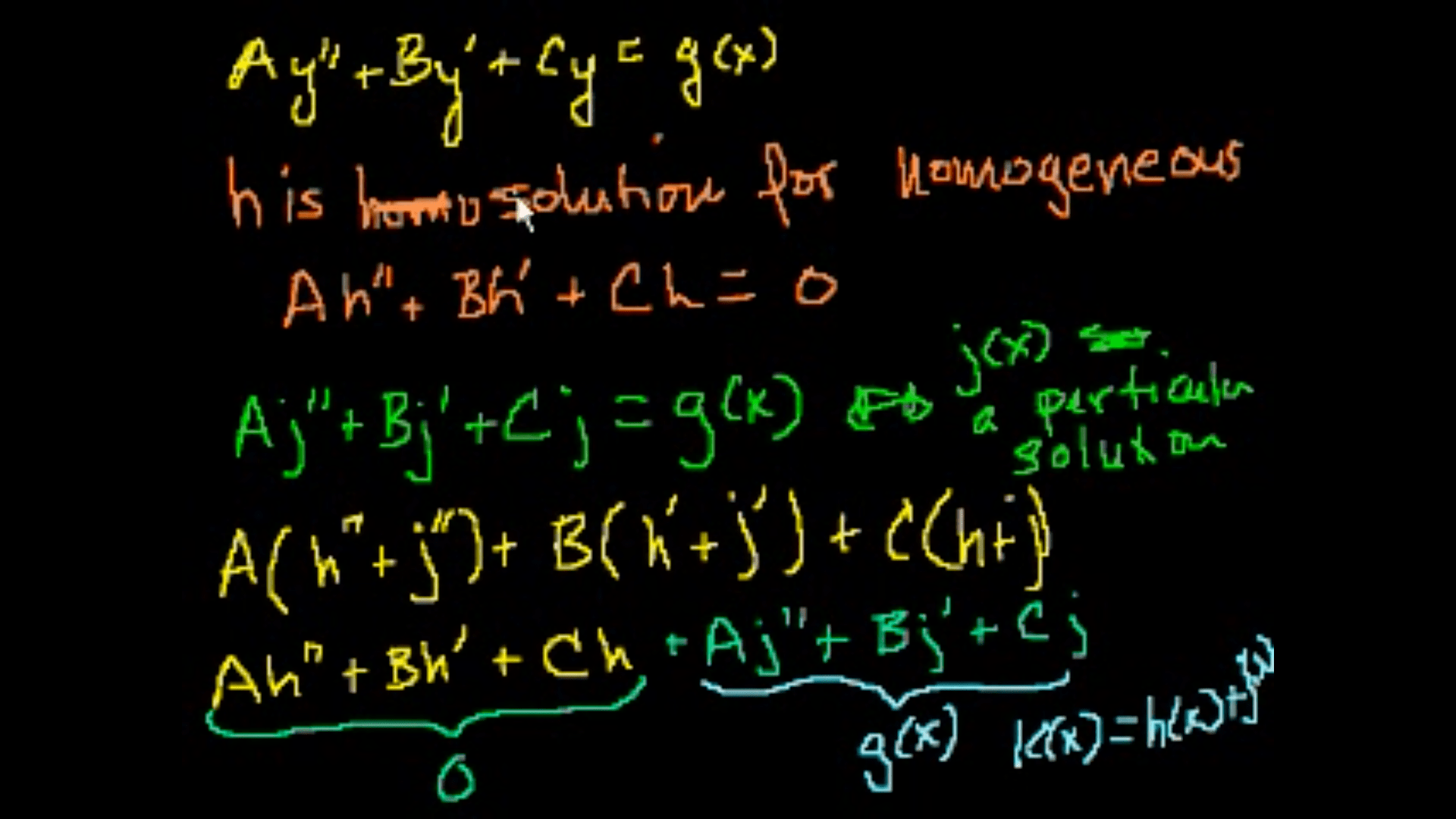
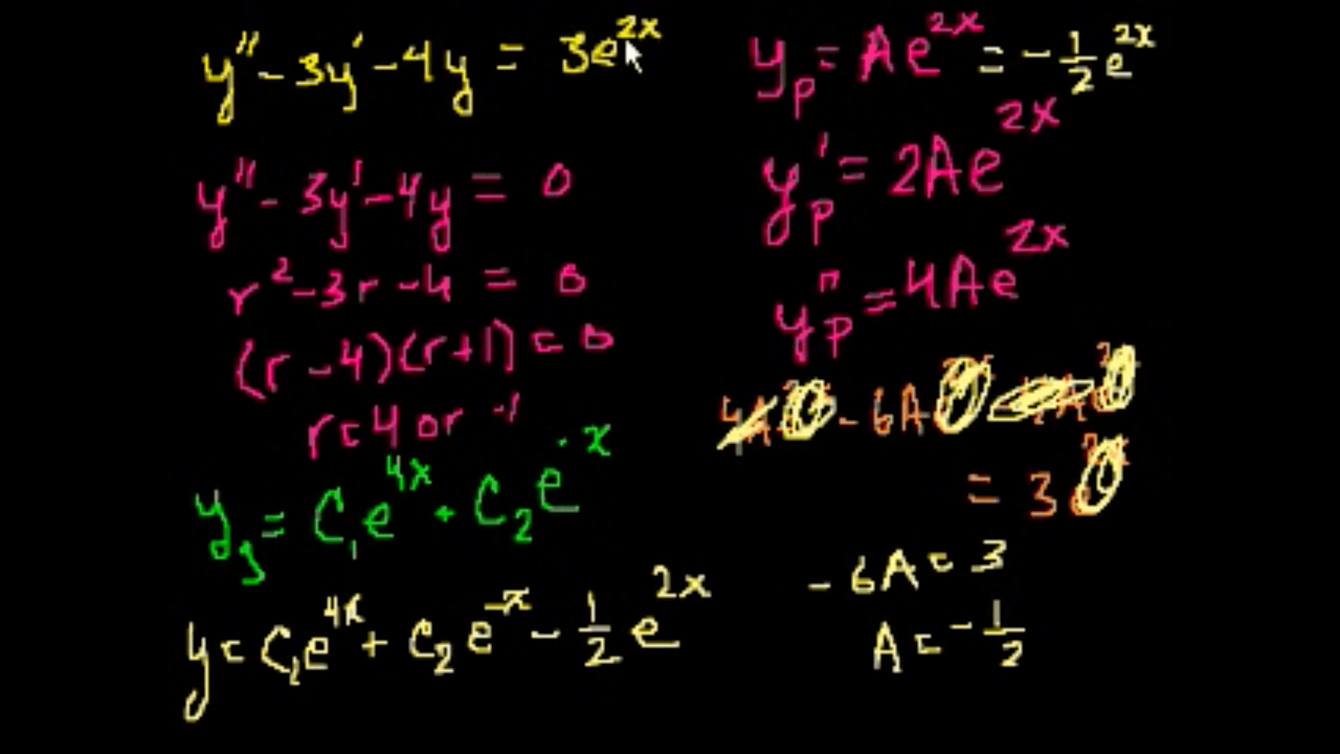
Video 3 – Undetermined Coefficients 1






This was the first video in the final section titled Method of Undetermined Coefficients. Once again, I don’t know what’s going on here. I know the pattern of how to figure out the characteristic equation and find the roots—by that I mean I know how to do it but don’t know what’s going on—and I understand that you can throw the values for the roots back into the ‘general’ equation (whatever that means). I don’t really understand anything after that.
A homogenous equation means the equation equals 0, whereas a non-homogenous equation will equal some function. A non-homogenous equation will have what’s called a ‘particular’ solution. Sal said that in order to figure out the particular solution, you have to guess. 🤔 So he took e2x and found its derivative twice and added a placeholder variable for a coefficient. After that, he threw the equations for y back into the OG equation and did some algebra to solve for the particular solution. (Not that I understand what any of that means.) At the end he said that to have the most general solution, you combine the particular solution and the general solution to the homogenous equation. 🙃
Video 4 – Undetermined Coefficients 2





Again, I have no clue what’s going on here other than being able to do the math. Sal said again that you just have to guess what the solution to the values of y, y’, and y’’ will be. Since the 2ndONon-HDE is equal to 2sin(x), Sal said the values of y must be a combo of sin(x) and cos(x) that are scaled with coefficients. (I’m 99% confident what I just wrote was incorrect.) He then did algebra to solve the coefficients. It doesn’t show in my notes or the screenshots, but the solution to the particular solution ends up being (-5/17)sin(x) + (3/17)cos(x).
Video 5 – Undetermined Coefficients 3




This is the same type of question except the particular solution you’re looking to figure out is for when the 2ndONon-HDE is equal to a polynomial—in this case it equaled 4x2. I’m not going to try and explain it, because I don’t understand.
Video 6 – Undetermined Coefficients 4

This final video of the section was only five minutes long. In it, Sal said that if you have a 2ndONon-HDE that’s equal to two or more terms, if you find the particular solution to each term individually, you can take those particular solutions and add them together with the homogenous general solution to get the most general solution. Whatever that means.
And that was it for this week. Like I said at the start, I am PUMPED to be moving on to the final unit of Differential Equations. I have a feeling this unit is going to be insanely confusing, but the good news is there are only 20 videos in the entire unit. I’m hoping I can get through it in three weeks which would be Week 299, meaning I’d start Week 300 off with the course challenge of Multivariable Calculus. That would be pretty satisfying, but either way, the light at the end of the tunnel is shining pretty bright now! It’s just hitting me now that I’m weeks away from accomplishing the goal I set for myself 5.5 years. SOON I will be done! 🥹