I unfortunately did not pass the Parametric Equations, Polar Coordinates, and Vector-Valued Functions unit test this week, but I was SO close and probably should have. The good news is that, although I don’t have a super strong grasp on the questions, I can generally think through and visualize what’s going on with the calculus and vector-valued functions, and eventually solve them without having to review anything. 😮💨 Some bad news about this week is that I didn’t put in nearly enough time on KA. Part of me is actually glad I didn’t pass the test because I don’t think I deserved to with my lack of effort. I likely only studied for 3 hours at the most which is pitiful… 😞 Even though I could reason my way to the solution of most of the questions, the majority of the questions took a lot of effort for me to think through and after answering one or two questions each day, I was mentally exhausted and wanted to stop. So, even though I’m happy with what I was able to remember and understand regarding the calculus and vectors, I’m a bit disappointed, overall. 👎🏼 BUT, I did get some work done, so that’s better than nothing I guess.
Here are nine questions from the test:
Calculus BC – Unit 9 – Parametric Equations, Polar Coordinates, and Vector-Valued Functions – Unit Test
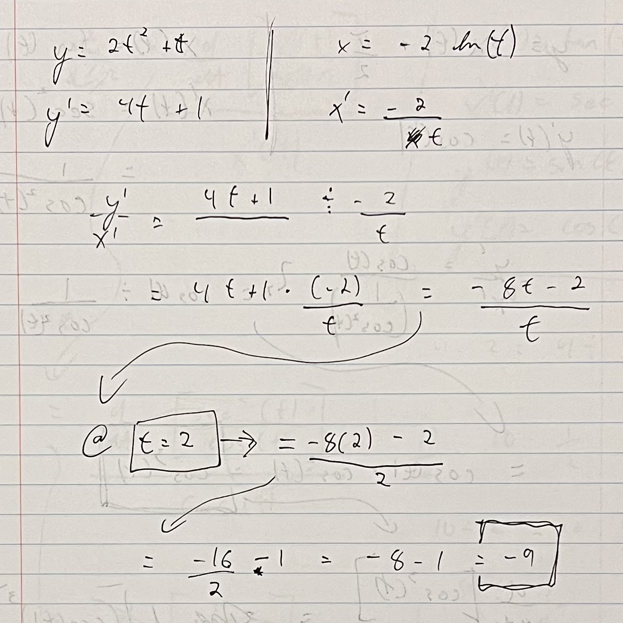
Question 1





This was the question I ended on last week which I got wrong. I watched the video that you can see a screenshot of above and unfortunately still wasn’t able to understand what is going on with d2y/dx2 or why it works the way it does. On the plus side, I was able to wrap my head around and memorize how to solve these questions with the formula shown in the top right corner of my notes, d/dt[y’/x’]/x’. I’m definitely sad that I don’t understand what or why the formula works, but from past experience, memorizing how to solve math concepts often is the prerequisite to learning what’s going on with them and why they work. Anyways, once I had the formula figured out, solving these types of questions became easy.
Question 2


I also had the formula memorized for this question memorized — a∫b r2/2 dθ — so I just plugged the equation r = 1 + 3sin2(θ) into Desmos and played around with the bounds to figure out that the bounds of the shaded area was π < r < 2π and then plugged everything into the formula on Desmos to get the solution.
Question 3





I got this question correct but don’t really know how I figured it out. I put the equation into Desmos to look at the curve at the point (1, 2) and could clearly tell that the slope was 2. It seemed to me that if the particle was moving 3/2 units in the x direction and the slope was 2, that it’d have to be going twice that amount in the y-direction, so I assumed the answer was 3 which turned out to be correct. After I submitted my answer and got it correct, I basically just copied out KA’s notes and didn’t/don’t completely understand the dy/dt and dx/dt derivatives, and why they come together the way they do. But I have a decent grasp on how the equation works, so I’ve got that going for me which is nice.
Question 4


My notes answering this question were all pretty messy and I don’t feel like rewriting them. 😬 I was able to figure out the derivative of 4/(t +2) pretty easily which is –4/(t + 2)2, so I knew that C) must be the correct answer since B) wasn’t written as a set of vector-valued coordinates, but I still unfortunately don’t know why the derivative of 4log(t) = 4/tln(10). 😞
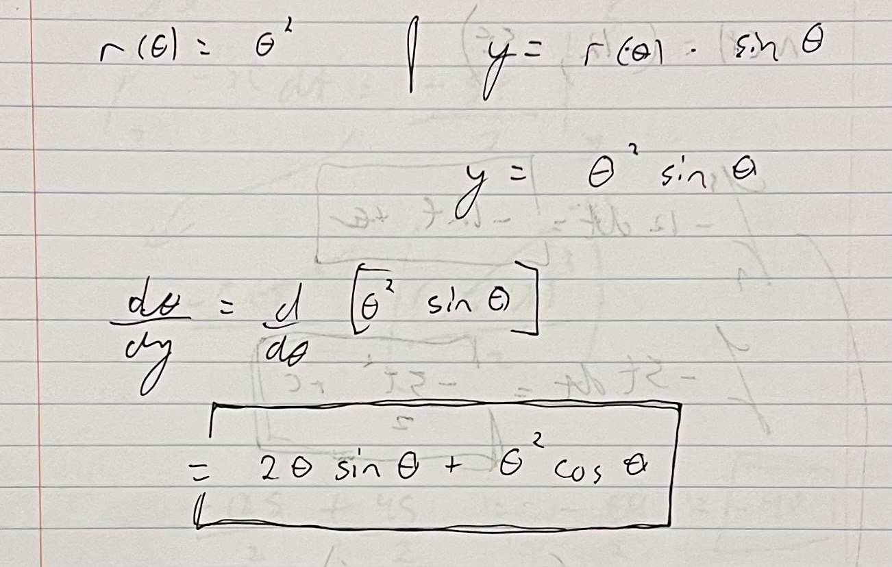
Question 5




This was the same type of question as the very first one where I needed to find the second derivative of the x- and y-functions, so this wasn’t too hard since I had the formula memorized, although I did screw up the trig derivatives a few times. It was pretty satisfying once I figured it out, but I definitely felt a bit rusty with trig derivatives as I was stumbling my way through it.
Question 6



Got this question correct in about 2 minutes on my first try and was pumped.
Question 7



Got this question correct in about 1 minute on my first try and was even pumpeder.
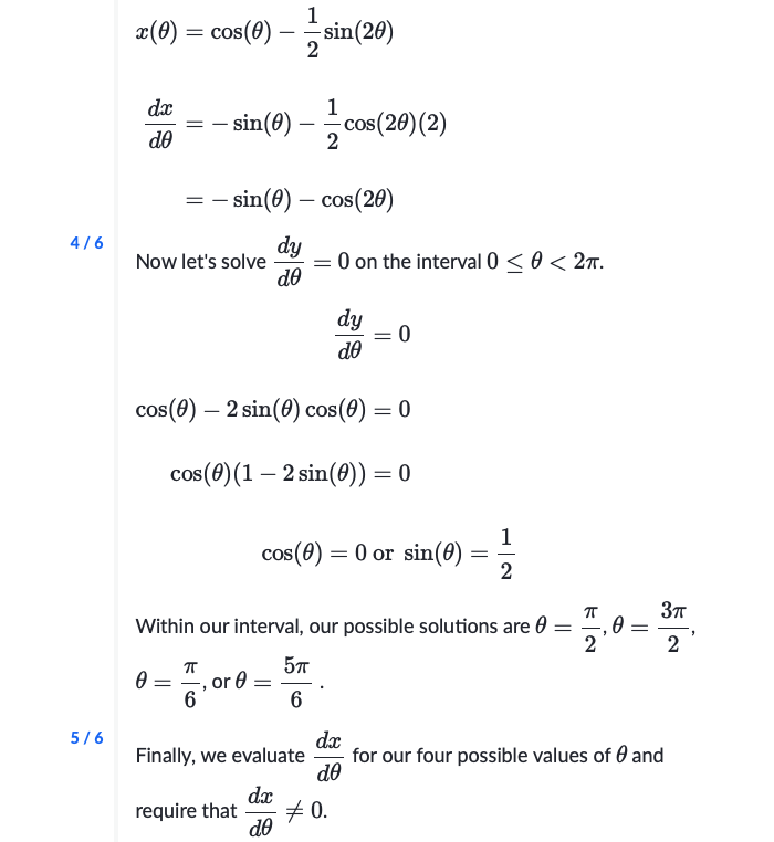
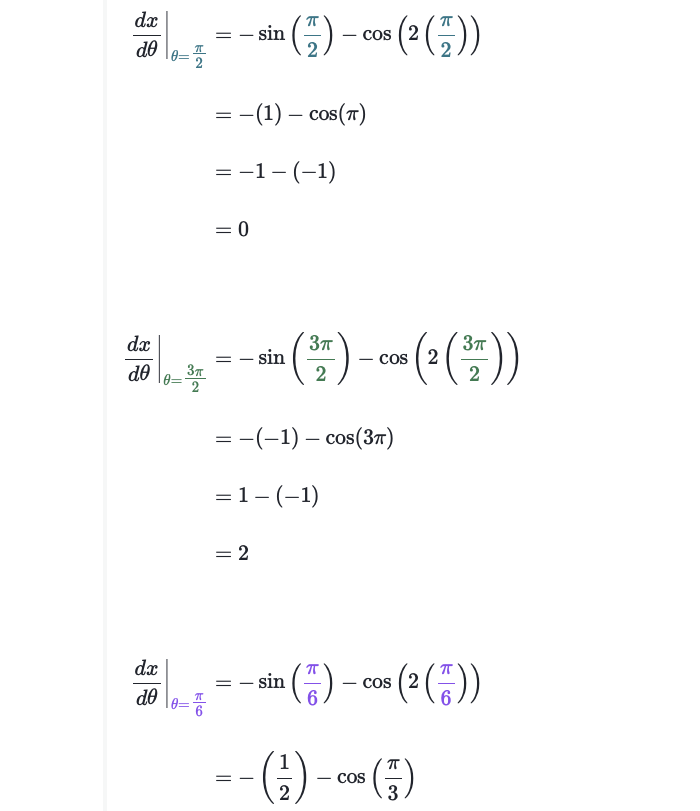
Question 8






I cheated on the question by plugging the equation into Desmos and just looking at where the function had a horizontal tangent line, BUT I knew the gist of what the question was asking me and how I would have to solve it: by figuring out where dy/dt = 0 since that would mean there’d be no slope in the y-direction. But to be fair, after looking at KA’s answer, I don’t know if I would have been able to figure out how to set up and properly do all the equations it worked through.
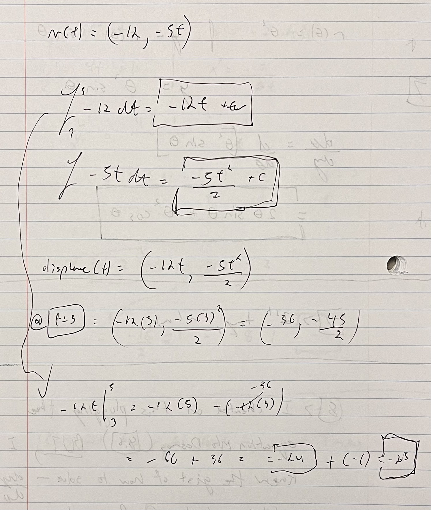
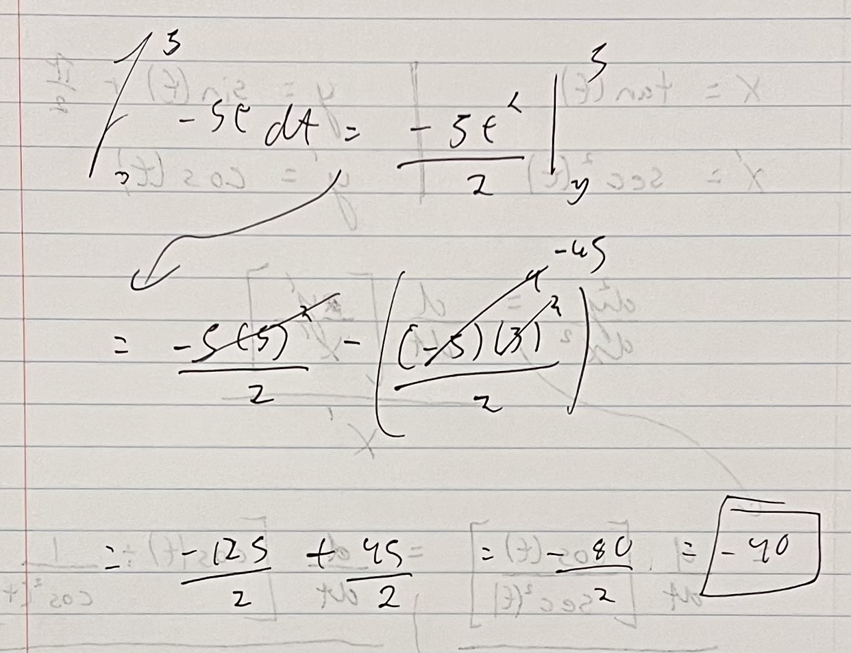
Question 9




I got this question wrong and was SO sad because 1) I was on the 11th of 14 questions here, and 2) I initially had no clue how to solve it, then figured out how to solve it after about 10 minutes of starring at my screen, then did EVERYTHING the right way, but forgot to add (–2) to the Δy = –40 at the very end. 😞 As sad as I was, I was happy knowing that I was able to figure out what was going on with this question and how to solve it on my own. It just made me that much more confident and optimistic that I’ll be able to get through this test relatively quickly this coming week.
And that’s where I ended the week. I’ll have to restart the test at the beginning of this upcoming week, but I’m not too upset about it. There’s not much more to say other than what I always say which is: I’m REALLY hoping I can get through this test this week and start making some quicker progress so I can FINALLY get through the Math section of KA. Hopefully I can get it all done in the next 24 months so that I doesn’t take me more than 350 weeks to “learn calculus” as I said SIX years ago…