It was another one of those ‘could have been better, could have been worse’ type of weeks. 🤷🏻♂️ I didn’t make it through the Parametric Equations, Polar Coordinates, and Vector-Valued Functions unit test, but I did much better with it than I thought I would. I’m guessing I spent less than 5 hours working on it, so that was part of the problem. A lot of my time this week was spent working onCodaKaizen which I made a ton of progress on. I’m SO close to putting the final finishing touches on CodaKaizen, meaning after ~2 years of working on it, I think I’m a few weeks away from being ready to market the program. (The timing of being just about done KA AND being just about done creating CK is very interesting. 🤔) As I’ve said many times before, the superstitious part of me feels like I need to finish KA in order to properly launch and have success with CK. So, all of that is to say that even though I didn’t have a great week on KA, 1) I feel good about what I was able to remember from the test, 2) the KA finish line is definitely in sight, and 3) with CK being just about ready, I’m more fired up than ever to get through the math section of KA and move on to bigger and better things. 😤
I mentioned at the end of my last post that I couldn’t remember how or why d/dx[ln(x)] = 1/x so I watched a video on YouTube at the start of this week to try to figure it out:

In this screenshot, the creator of the vid shows the calculus used to solve it. I understand everything except at one point where he states that e = limt->∞(1 + 1/t)t. He said that this equation is literally the definition of e, but I don’t remember doing this or seeing this equation before. 🙁

Here he goes through how to solve d/dx[ln(x)] = 1/x using implicit differentiation. The algebra is simple, but I don’t remember how or why implicit differentiation works… So, again, this proof was pretty much lost on me. 👎🏼

This was one final proof he gave was actually the proof I wanted to understand in the first place. He just uses log rules and algebra to prove d/dx[logb(x)] = 1/x(lnb) but since I don’t really understand how or why the derivative of ln(x) is equal to 1/x, the how or why of this proof was also lost on me. 👎🏼
After watching that video, I got back to the unit test:
Calculus BC – Unit 9 – Parametric Equations, Polar Coordinates, and Vector-Valued Functions – Unit Test
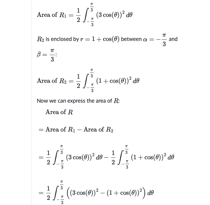
Question 1





I didn’t make any written notes for this question, but I did have to go back into my notes from last week and check what the integrand is when finding the integral of a function using polar coordinates. As you can see from the screenshots, the integral takes the shape of a∫b r2/2 dθ. After that, it was just a matter of plugging the function’s equations into the integral and subtracting one from the other, which you can see I did on Desmos. Interestingly enough, the difference between the two is exactly equal to π. 🥧
Question 2





The notes I wrote out above were essentially copied from KA’s answer. I got this question correct but didn’t actually solve it properly. I plugged in the equation x2y2 = 16 into Desmos, looked at the point (1, 4) and, based on the functions shape, assumed that if x’(t) = –2 @ (1, 4), then it would make sense that y’(t) would be 8 given the slope of the function. (I imagined a particle going –2 in the x direction would also be going +8 in the y direction at (1, 4).) Not the proper way to figure it out, but I do think the way I figured it out was geometrically true/accurate as to what’s going on. FYI, here’s what the function looks like:

Question 3






I was pumped that I got this question exactly correct on my first try without cheating, AND remembered/visualized exactly what was going on with the sum of all the little dy/dx’s across the function that, together, sum up to be the length of the line.
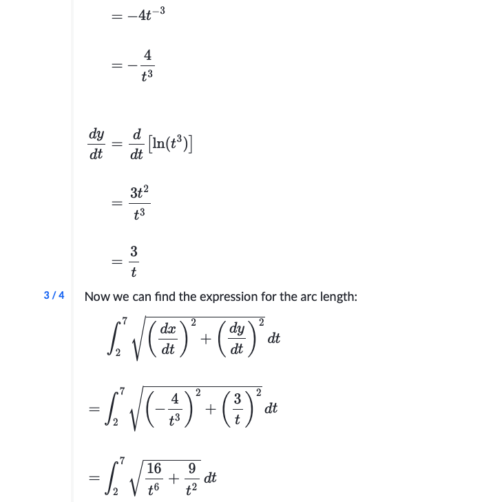
Question 4




This was another question that I was massively fired up on as I also got it correct on my first try without cheating. To be fair, last week I got a question similar to this one wrong because I forgot that in polar coordinates x = (r * cosθ) and y = (r * sinθ), so I had their equations freshly memorized. But even still, I was very proud that I figured out how to solve this question without having to look anything up.
Question 5



This was a pretty easy question but I was still happy/proud that I solved it, so I figured I’d add it in.
Question 6




(INSERT PHOTO)

As you can see, I was 10 questions into the test when I got it wrong which was a bummer. I thought about it for a while but couldn’t figure out what I was supposed to do and just ended up guessing. I didn’t realize that I needed to find the antiderivative of both the x- and y-velocity functions, partly because I forgot that the integral of velocity is displacement. After that, you just use pythag’s theorem to find the total displacement across the x- and y-axes, i.e. the magnitude of the displacement vector.
Question 7



After getting the previous question wrong, I restarted the unit test and made it four questions in before coming up against this one and getting it wrong, as well. At that point, it was Sunday morning and I decided I’d leave it there for the week. At the end of every question, KA always gives a video that explains/talks about the math from the question, so my plan is to start this coming week with that video to try to understand what’s going on with this question, then I’ll begin my post next week with the explanation.
And that was it for this week! Even though I didn’t spend enough time trying to work through the test, I was pretty pumped with what I was able to remember to get some of the trickier questions correct. (Tricky for me, anyways…) So given that, I’m optimistic about this upcoming week and think I may be able to get through the test. As always, fingers crossed that I can make it happen! 🤞🏼