I had a so-so week on KA. I started the week sitting at 10/30 questions correct on the Limits and Continuity unit test and finished the week on 4/30 questions correct… 😑 So, in that sense I went backwards, BUT by the end of the week I definitely remembered quite a bit about limits that I had forgotten. Even though there were plenty of questions that came up where I had no clue what was going on, after getting those questions wrong and reading KA’s answer, most of what I learned came back quickly. I went through test four or five times, and each time I would get 10-15 into it and then would find myself reading a question that was completely lost on me. But nonetheless, I finished the week feeling optimistic that 1) even though I don’t remember limits completely, I’m able to recall what I learned fairly easily, and 2) I think I should be able to get through this unit test soon. (Hopefully.) So, all in all, this week could have been better but it also could have been worse. 🤷🏻♂️
Here are nine questions from the test:
Question 1



This was the second question I worked through on Tuesday morning. This as a good example of a question where I didn’t know what the theorem was referring to or what it meant specifically, but I was able to reason out/visualize what the correct answer had to be. Really, it was because the question said “guaranteed” and the only answer that made sense for it to be “guaranteed” was for f(x) to be equal to 2 between x = –5 and x = 0 given f(–5) = 0 and f(0) = 5.
Question 2




I definitely would have gotten this question wrong, but I threw it into Symbolab to figure out the answer… Looking at KA’s solution, I understand the trigonometry and the algebra but I don’t think I would have been able to think of the trig identities on my own. ☹️ Although, in retrospect, I knew that cot2(x) = cos2(x)/sin2(x) but I’m not sure if I would have been able to figure out that I needed to switch cos2(x) = 1 – sin2(x) and then expand 1 – sin2(x) to (1 – sin(x))(1 + sin(x)). (I just copied out KA’s answer into my own notes here. I find that it can be helpful to memorize how to solve certain questions.)
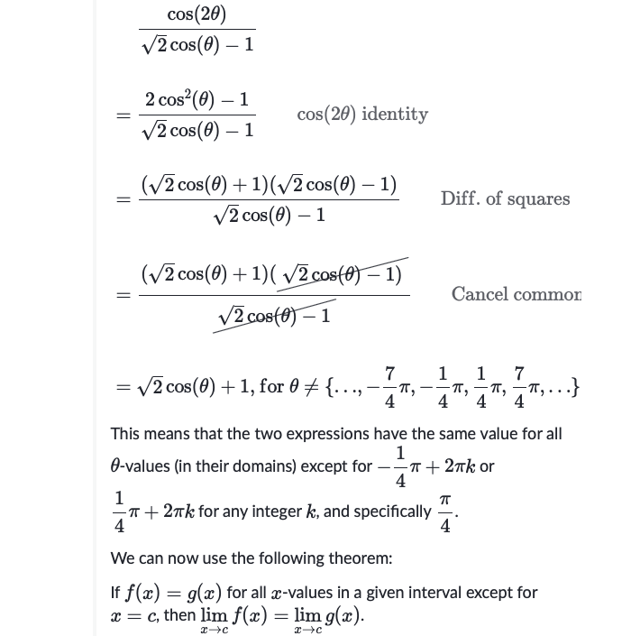
Question 3




This was another question I put into Symbolab to get the correct solution. 👎🏼 As the week went on, I got much better at seeing these questions and knowing what to do to solve them, but when I saw this particular question early in the week, I wasn’t sure what I needed to do. You can see that the alg isn’t too hard — you just need to factor the expressions and then cancel out the common binomials, then you can try putting the limit back into the factored expression. The silver lining was that after this question, I didn’t get another question like this one wrong for the rest of the week, so I had that going for me which was nice.
Question 4


This was another question I would have gotten wrong but Googled if at x = 3, h(x) was a removeable discontinuity. I assumed it wasn’t but it turns out that this is considered a removable discontinuity called a ‘jump’ discontinuity.
Question 5

I was pretty bummed out when I got this question wrong because, as you can see, I was 19 questions into the unit test at that point. 😭 I wasn’t sure/didn’t remember what “unbounded” was — it’s when a function goes to +/– infinity at a certain x-value — and didn’t put it together that that’s what was being expressed by the table. Lesson learned.
Question 6





I was super annoyed getting this question wrong because for once I had finally done all the math correctly and knew the correct step-by-step process that was used to solve the limit but didn’t add “limit found” to the end of the list and so I got the question wrong. 😡 But on the plus side, reviewing the flowchart from this question made understanding how to solve limits WAY easier after this.
Question 7



I should mention that there were plenty of questions I got correct without cheating but didn’t screenshot them because I didn’t feel like I needed to. That said, this was once again another question that I only got correct because I threw it into Symbolab. It was actually the only question I came up against this week where I didn’t know how to do the algebra to solve it. Looking at KA’s answer, I understand what they did and it’s not too difficult, but I didn’t and still don’t understand the negative sign outside of –√x2. I think it’s because the question states that x -> –∞ and so:
- x = – √x2
- @ x = –∞
- (–∞) = –√(–∞)2
- –∞ = –(∞)
- –∞ = –∞
- –∞ = –(∞)
That probably didn’t make sense, but I don’t know how else to write it or if I’m even correct in my thinking. 🤷🏻♂️
Question 8




This was definitely a bright spot in my week as, although I double checked my Trig Identities Cheat Sheet before answering it, I got this question correct without using Symbolab. I had already come up against trig questions like this one a handful of times so I knew that I had to figure out a way to use a trig identity and algebra to cancel out some of the terms. But still, it was pretty satisfying/relieving for me that I was able to figure it out on my own. 😮💨
Question 9



I was on the 15th question of the test when I got this one wrong. I assumed that since the limit of g(–3) didn’t exist, then (g(–3)f(–3)) wouldn’t exist either. As you can see in KA’s answer, it turns out that if the one-sided limits of both functions exist at an x-value in question and when you multiply them they both equal the same value — which in this case you can see that they do both exist and equal 0 — then you can say that the limit of the functions multiplied by each other at that x-value does exist.
And that’s more-or-less where my week ended. I think I got that question above wrong on Sunday, then restarted the test and worked through four questions before coming up against one that was tricky and so I then decided to call it there for the week.
Like I said at the start of this post, I’m optimistic about getting through this unit test and am hoping that I’ll get it done by the end of this coming week. After that, I have two more unit tests I need to get through in Calc. BC which are both 14 questions long. I’m hoping that I can get through them both and be done Calc. BC by the end of October at the latest. I think it’s doable but need to have a good week this coming week to set me up well to get it all done. As always, fingers crossed! 🤞🏼