I had a decent week on KA but didn’t put as much time into it as I should have. 👎🏼 I’d give myself a B– for my effort. I made it through Unit 4’s unit test in Precalculus which wasn’t too difficult — although I definitely felt lost on a few questions — and then got started on Calculus BC. There are three units that now have M.P. I need to achieve in Calculus BC, but none of them have any exercises that I need to do, just unit tests that I need to redo. The first of the three is Limits and Continuity. I was a bit shocked to see that the unit test has 30 questions in it. 😳 I initially thought it was going to take me years to get through this test, but after trying it a few times, I realized the questions are (generally) pretty easy. That said, I tried it four or five times and didn’t get more than 10 questions correct in a row before getting one wrong and having to restart. But even still, I’m optimistic that it won’t take me too long to get through it. So ya, not a terrible week, but honestly that great either.
I’m sad to say that my Fall allergies as still kicking my ass so once again, this will be a relatively short post this week. I’m not going go into much detail explaining the questions below. Hopefully my written notes will give you a good idea of how I solved each question.
Precalculus – Unit 4 – Rational Functions – Unit Test
Question 1





I got this question wrong thinking that when x = –8, the function equalled 48/0 and was ‘undefined’, meaning it was a removable discontinuity. Looking at KA’s answer and also Googling it, I realized a R.D. only occurs when there are terms in the numerator and denominator that cancel out. So for example, if there happened to be a (x + 4) in the numerator and denominator, you’d cancel them out to simplify the overall term and there’d be a R.D. on the function at x = –4.
Question 2




Pretty simple question on factoring a trinomial. One thing I’ll say though is that it was good practice/review to go through these types of questions. I was a bit rusty at first but after a few of these questions came up, they became much easier.
Question 3



You can see at the bottom of my written note above what I thought of this question. 😠 Annoying that I got it wrong but, again, good practice.
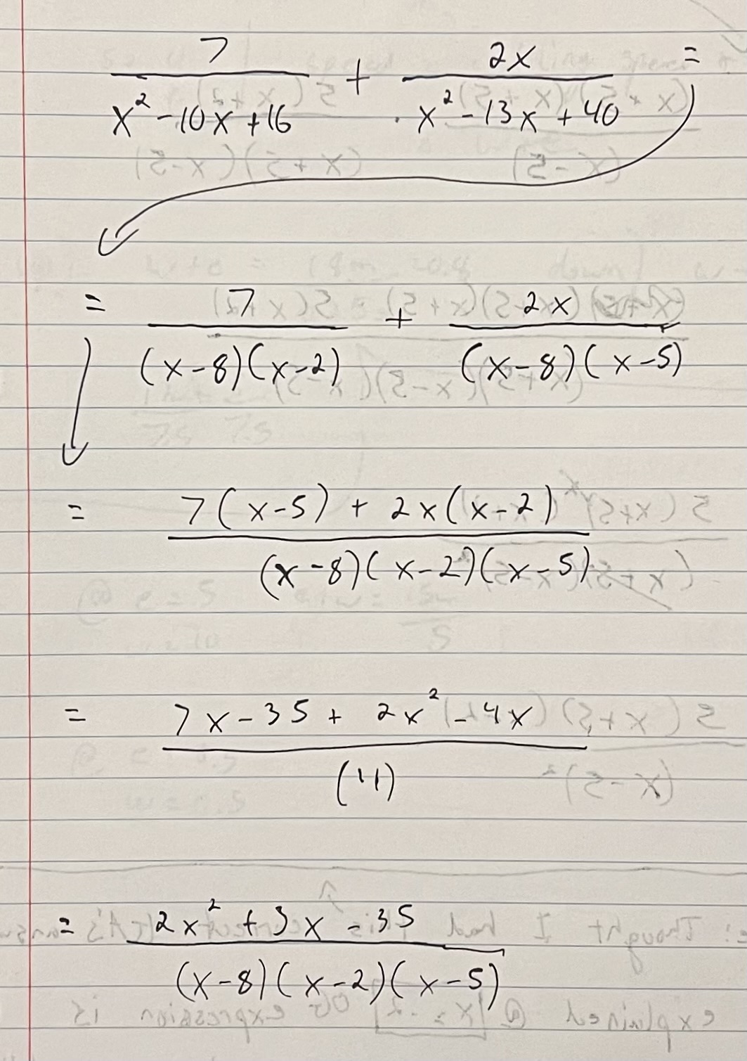
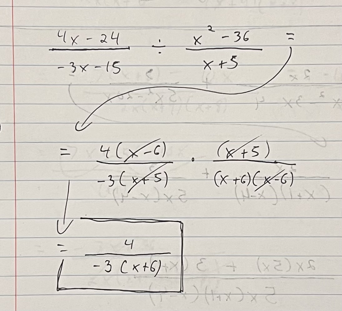
Question 4



Again, this was the same type of thing as the previous two questions but seemed a bit trickier as I had to multiply each term by a factor in the denominator of the other term in order to find the lowest common denominator for both terms to add their numerators together. (I think it’s unlikely that that made sense, but hopefully you understand. 😬)
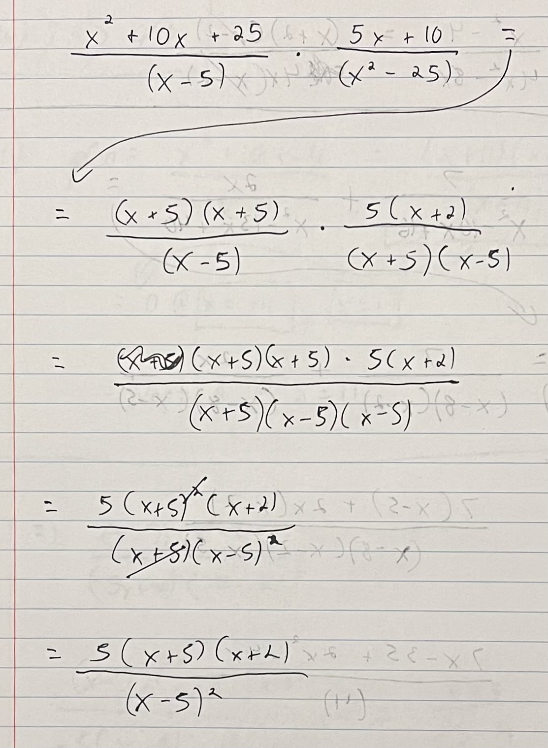
Question 5




I was super confident when I answered this question and was equally bummed out when I got it wrong. 😒 Looking at KA’s answer, I realized that what I need to do in these questions is: once I figure out the 0’s from the simplified expression, go back and put the x-values back into the OG expression in all the places where they could potentially make the expression undefined to check if they in fact do that. You can see that in the denominator of second term in the OG expression that at x = –2 the denominator would equal 0 and therefore the entire expression would be undefined. Again, I was annoyed that I got this question wrong but then I didn’t get a single question like this wrong afterwards which was a relief.
Question 6



This is literally the same type of question at Question 4 except I had to subtract the terms in the numerators from each other instead of adding them. Same process to solve this as Question 4 though.
Question 7




This question was the same as Question 5 and so I was glad to get it correct this time. I was able to figure out what values needed to be excluded from the domain of the OG expression by looking at what the 0’s were in the simplified expression and plugging those values back into the OG. I’ll also say that the way the OG expression is written, as a double fraction, is a crazy and seemingly an unnecessarily confusing way to write it.
I finished the unit test on Thursday on my fifth or sixth try. I then got started on the Limits and Continuity unit test on Friday.
Calculus BC – Unit 1 – Limits and Continuity – Unit Test
Question 8


On my first attempt at the unit test, I got the first two questions wrong and was not feeling great about it. But then I restarted the test and got eight correct in a row. The eight questions were all SUPER easy, like this question above. As you can see, you have to understand what the limit notation is saying and understand how to interpret the function, but if you know how to read it properly, it’s as simple as looking at the graph, seeing that the function plateaus at y = –3 in the x– direction and y = 0 in the x+ direction. 🧨
Question 9




I cheated on this question by putting the term 15(x)/(x3 + 3x) into Desmos and looking at where x = 0. I would have gotten it wrong if I hadn’t done that as I thought the answer was 0 before doing so. I was disappointed that I cheated, but I ended up getting a question wrong after this one and had to restart the test anyways. I was happy to see how KA solved this question and remembered that they’re not that hard to solve, I just need more practice/review.
Question 10


This was another example of how easy the questions were, as long as you know how to read limit notation and understand what it’s saying. This was the final question I answered on Sunday leaving me at 10/30 correct heading into this coming week. 👍🏼
Even though I’ll need to get 30 questions correct in a row to pass this unit test, I’m optimistic based on how easy most of the questions were that I’ll be able to get it done in hopefully just a few days. I’m sure the other two unit tests that I need to do in Calculus BC will be much tougher, but they’re each only 14 questions long, so I’m hoping that they won’t take me too long to get through either. After that, I’ll only have two more courses left to get through before finishing off the High School & College Math section. 😮💨 I’m hoping I’ll have it done earlier, but at the very least I’m confident I’ll have it finished by 2026. I’m looking forward to starting this coming year with this math chapter of my life behind me, not because I don’t like doing it — it’s grown on me quite a bit, and I do enjoy it now — but just wanting to FINALLY accomplish what I set out to do SIX YEARS ago. 😭