So, I didn’t pass the Integration and Accumulation of Change unit test. 😭 I spent a decent amount of time on KA trying to get through it though and by the end of the week, I finally feel confident that I’ll be able to get through it on my next attempt of two. I got a much stronger grasp on the Sigma notation questions that are on the test as I ended up rewatching a video on how it works — which I probably should have done a long time ago… I would have passed the test this week if I hadn’t made a careless mistake on a Riemann sum question near the end of the test, which I did because I didn’t take enough time to think through it properly. But, the second piece of “good news” is I ended the week at 15/30 questions correct, and breezed through those 15 questions correct in less than 15 minutes. My point is that I’m finding the questions easier and easier which I think is a good sign that I’ll be able to get through this test early next week. 🙏🏼
Here are six questions from the test:
Calculus AB – Unit 6 – Integration and Accumulation of Change – Unit Test
Question 1



This was a pretty straightforward integral. Not really sure why I thought I’d add it to this post other than wanting to show that I know how to split apart an expression like the one in this integrand and that I can then integrate the integrals individually. 🤓
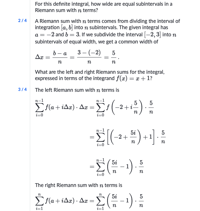
Question 2



I can’t remember exactly what question I was on when I got this wrong but I think it was somewhere between the 15th and 20th questions. I was SO annoyed after getting this question wrong having gotten so many other Sigma questions just like this one wrong over the past few weeks. I wrote in my notes that I was pretty “distraught” after getting this one wrong, and so I decided it was finally time to rewatch a video on Sigma notation.
Question 3



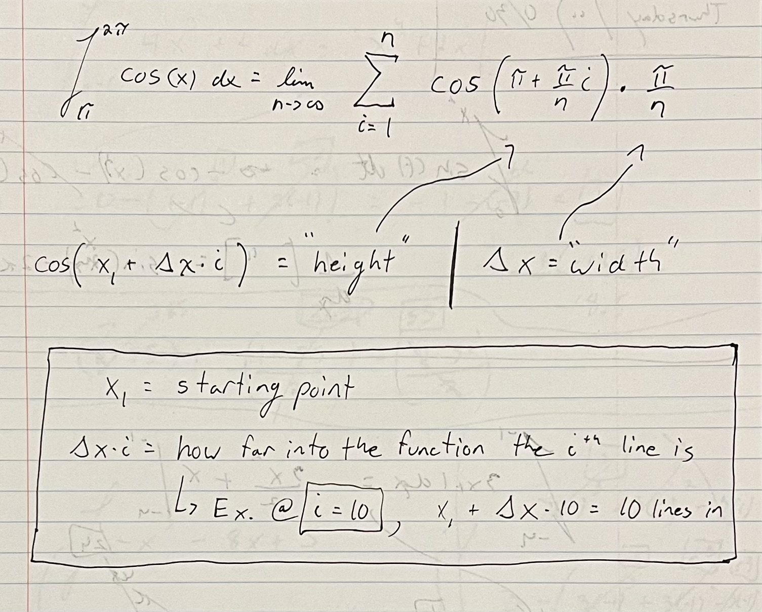
I watched this video on Wednesday and was pretty much able to follow along with and understand all of what Sal explained. In my notes where it shows the Cosine function with an arrow leading to it that says “height”, this is still the part that I find a bit confusing. I still find it a bit confusing but know that the notation is summing up the width*height of each individual bar between the function and the x-ais. The width is pretty straightforward as it’s just Δx. The height is harder for me to put into words, so hopefully my notes do a half-decent job of explaining it.
Question 4




This question took me 20 minutes to figure out. I took me a long time to realize that I needed to use polynomial long division to solve it. After I figured that out, it didn’t take me too long to do the PLD and I was pleasantly surprised that I remembered how to do it without needing to review PLD from a previous post. 😮💨
Question 5


I had a small nervous breakdown when I got this question wrong. I was so mad since, as you can see, I was on the 25th question at this point, and it was a stupid Riemann sum question which should have gotten correct because they’re SO easy… My mistake was that I didn’t multiply each bar-height by 2 since each subdivision was two units in width. I was nervous at this point in the test being so close to the end which was part of what made it hard for me to think clearly but even still, I really thought I had this question on lock and was super sad and frustrated when I got it wrong.
Question 6

After I got question 5 from above wrong, I was so frustrated that I rushed through as many questions as possible without double checking my answers and made it to this one, the 16th question on the test, in about 10 minutes. I should have gotten this question correct but I screwed up doing the derivative. I didn’t really care at that point since I was already as annoyed and frustrated as I could be, so I just left it there for the day.
On Sunday morning I got to the 15th question on the test before I had to leave for work, so that’s where I’ll be picking the test back up this coming week. As I mentioned, I’m now flying through most of the questions and feel much less unsure of myself when answering them and am therefore much less anxious working through the test. (I’m hoping that will bode well for me.) I know I’ve said this the past few weeks BUT, given how quickly I was answering questions on Saturday and Sunday, I’m fairly confident I’ll finally be able to get through the test this coming week. Considering that I first attempted it four weeks ago, I think it’s about time that I pass it.
As always, fingers crossed. 🤞🏼