I unfortunately didn’t have a great week on KA. I tried multiple times to get through the Integration and Accumulation of Change unit test but was unsuccessful. 😒 To be fair, I didn’t spend enough time on KA this week — probably only 5 hours at the most. For the most part, the questions on the test weren’t too hard but every once in a while, I’d run into one that threw me for a loop and I was completely lost. On those questions, I’d either cheat and use Symbolab or spend 30-40 mins trying to think through it (and then cheat and use Symbolab). Still, all in all I felt pretty good about what I was able to remember on my own and even found some of the questions fun. (The simpler integral questions were satisfying, like solving little puzzles.) I ended the week on the 18th of 30 questions, so I’m in a good position to (hopefully 🙏🏼) finish the test of quickly at the start of this coming week. So, as usual, the week could have been better, but it also could have been worse. 🤷🏻♂️
Here are seven questions from the test:
Calculus AB – Unit 6 – Integration and Accumulation of Change – Unit Test
Question 1



Having answered integral questions that were similar to this one last week, I assumed that the antiderivative of the integrand would be arctan of something. For some reason, I couldn’t remember that e2x = (ex)2 and so I spent 15 minutes trying to think through how I could possibly get the denominator in the integrand to take the form of 1 + x2. Eventually I asked Symbolab and it pointed out that e2x = (ex)2. 🤦🏻♂️
Question 2



I got this question wrong not knowing how to properly do the polynomial long division. After this question, I rewatched a video where Sal worked through how to do PLD which turns out to be fairly straightforward and was quick to review. That said, even knowing how to do PLD, this still seems like a deceivingly tricky question to me given the factoring used in 3/(5x + 5) and then the integral of 1/(x + 1).
Question 3



This was a pretty tough question that I likely would have gotten wrong a few weeks ago before having a couple of go’s at the unit test, but I’m happy to say that I actually got this one correct without cheating! It’s not too hard, but you have to know what the integral of cosine is, and how to use the reverse power rule and u-substitution (or my weird a(x) and b(x) method), AND be able to put them all together in order to solve it. So not too hard I guess, but I was still pumped to get it correct.
Question 4


I spent about 10 minutes looking at this question trying to think it through but didn’t figure it out and ended up getting it wrong. Looking at KA’s answer, I still have a hard time understanding what the sigma notation is saying. I know that the integral is calculating the area of a sin curve from 0 to π so that must be what the sigma notation is doing, but I have a hard time understanding the steps in part three of KA’s answer. 😞
Question 5





Here’s where that polynomial long division review came in handy. (FYI there were a handful of other questions I used it for but this was the only other one I took screenshots of.) Like I said, the PLD isn’t too hard once you know the pattern of how to do it. And on the bright side, it’s very satisfying writing out the math after knowing what to do. After finding the quotient of the OG integrand, the integration was pretty straightforward — although the integration of -7/(3x + 1) took me a second to think through.
Question 6




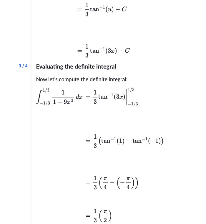
This question was just like the first question from this post, except this time I knew how to solve it and did so without cheating. 😤 I think I used Symbolab to double check my answer before submitting it, but I knew what to do to solve it before checking.
Question 7




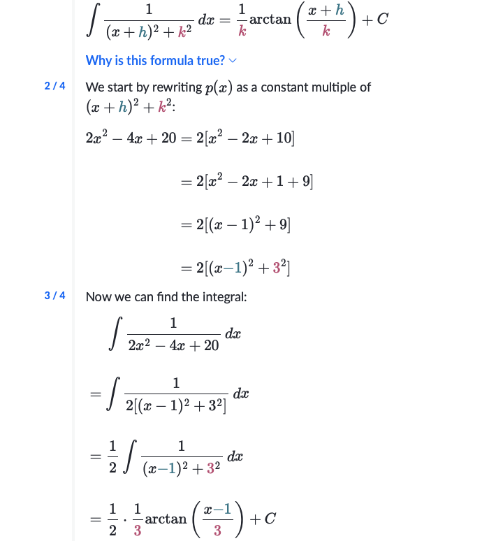
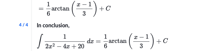
This one I definitely cheated on. 👎🏼 I didn’t remember that I needed to complete the square on this type of question. After I used Symbolab, I looked at how KA solved it and realized what I needed to do and that it wasn’t actually that hard. To be fair, I don’t really remember what arctan(x) is, how it works, or why the derivative of arctan gets you 1/(1 + x2). I also didn’t remember much of what KA talks about at the beginning of their answer, where it shows the highlighted “h” and “k” in the integral and antiderivative. I remember doing this in the past and having this formula memorized, but I don’t know if I ever intuitively understood what was going on with the formula. 🙁
And that was it for this past week. Like I said, I ended up doing restarting this test a handful of time and likely ended up doing close to 40 questions, so there was some effort at least, but it was still disappointing that I didn’t get through the test. But as I also said, I’ll be starting this coming week on the 18th question, so I can potentially get through the test early this coming week (especially considering I’ve seen most if not all of the types of questions and so I hopefully won’t be surprised by anything). As I’ve said in my last few posts, I’m SO close to being done! I’m really starting see the light at the end of the tunnel. So, as usual, fingers crossed that I can make some decent progress this upcoming week and get there sooner rather than later. 🤞🏼