It was another mediocre week for me on KA. I only watched six videos and made notes on just five of them. I didn’t study for five hours which is disappointing but not any different from what it’s been for the past number of weeks. 👎🏼 I’m pretty pumped to finish of the Math section of KA, so my lack of progress isn’t due to a lack of excitement. I think my progress has been slow lately because 1) I’m really struggling to understand what’s going on with the math, and 2) I’m spending a lot of time working on CodaKaizen. So part of me is disappointed I’m not getting through the math quicker, but the rational side of me understands why it’s happening—so I’m not beating myself up too badly. Plus, getting through the six videos this week did get me into the next unit, Second Order Linear Equations, so I’ve at least got that going for me which is nice. I know I’m going to get through this all eventually, it’s just taking me longer than I thought (about five years longer) BUT, I’m making progress nonetheless. 😤
Video 1 – Logistic Equations (Part 1)








In this video and the next, Sal worked through what’s called the Logistic Equation. I can’t give you much info about it (because I find it confusing), but I can tell you that this equation is used often to model population growth when there’s a limit (k) due to environmental constraints. I’m definitely not going to try to explain the six pages of notes I took for this equation, partly because I essentially just followed along with Sal as he was writing his notes out and didn’t completely understand what was going on, but also partly because it would take way too long to explain six pages of notes. So, hopefully they make sense. 😬
One thing I will say is that in the first screen shot above you can see where Sal had to do what’s called ‘partial fraction expansion’. I remember doing this type of math a long time ago finding it really hard to understand at the time. I was still fairly confused with it this week, but considering I hadn’t seen it for months (or more likely years), I think I did pretty well understanding how to do it and even sort of understood why it works. (Sort of…) I’ll also mention that working through these vids was good practice with calculus and algebra, so even though I didn’t really understand why the equation works, I at least brushed up on my calc and alg skills. 🙂
Video 2 – Logistic Equations (Part 2)





Like I said, I was able to follow along with the calculus and algebra Sal was doing, but when he got to the final solution, I was quite lost looking at what each term in the solution in the equation and understanding how they all come together to model population growth. Come to think of it, that’s probably true with a lot of the math I’ve done recently; I can follow along with doing the math, but don’t know how the equation for solution works in the end because I don’t understand what each individual term in the solution represents or how it impacts the output of the function. For example, in the y = mx + b, I know what each component of that equation represents and I can ‘see’ (so to speak) how each term influences the outcome of the equation. That is definitely NOT the case for the Logistic Equation… But hey, at least I can follow along with the math, so (once again) I’ve at least got that going for me which is nice.
Video 3 – Worked Example: Logistic Model Equations



This was the final video of the section and was clearly Sal working through an example of using the Logistic Equation. It was helpful to see how the equation works in practice and its real world utility. Using the equation itself wasn’t hard as you simply just plugged in the values, but clearly understanding the derivation of the equation is something I still need help with.
Video 4 – First Order Homogenous Equations




This video was from the final section of the unit called Homogenous Equations. In this vid, Sal explained what makes an equation homogenous. I think my notes do a pretty good job explaining the definition (I hope so given that I literally copied out Sal’s quote verbatim) but to reiterate it, an f(x,y) equation is homogenous if you can replace it with F(y/x). (I’m actually not sure if what I just wrote it correct, but I think that’s how it works.) The reason why you’d want to make this substitution is because it can turn a differential equation that’s not separable into one that is, making it much easier to solve.
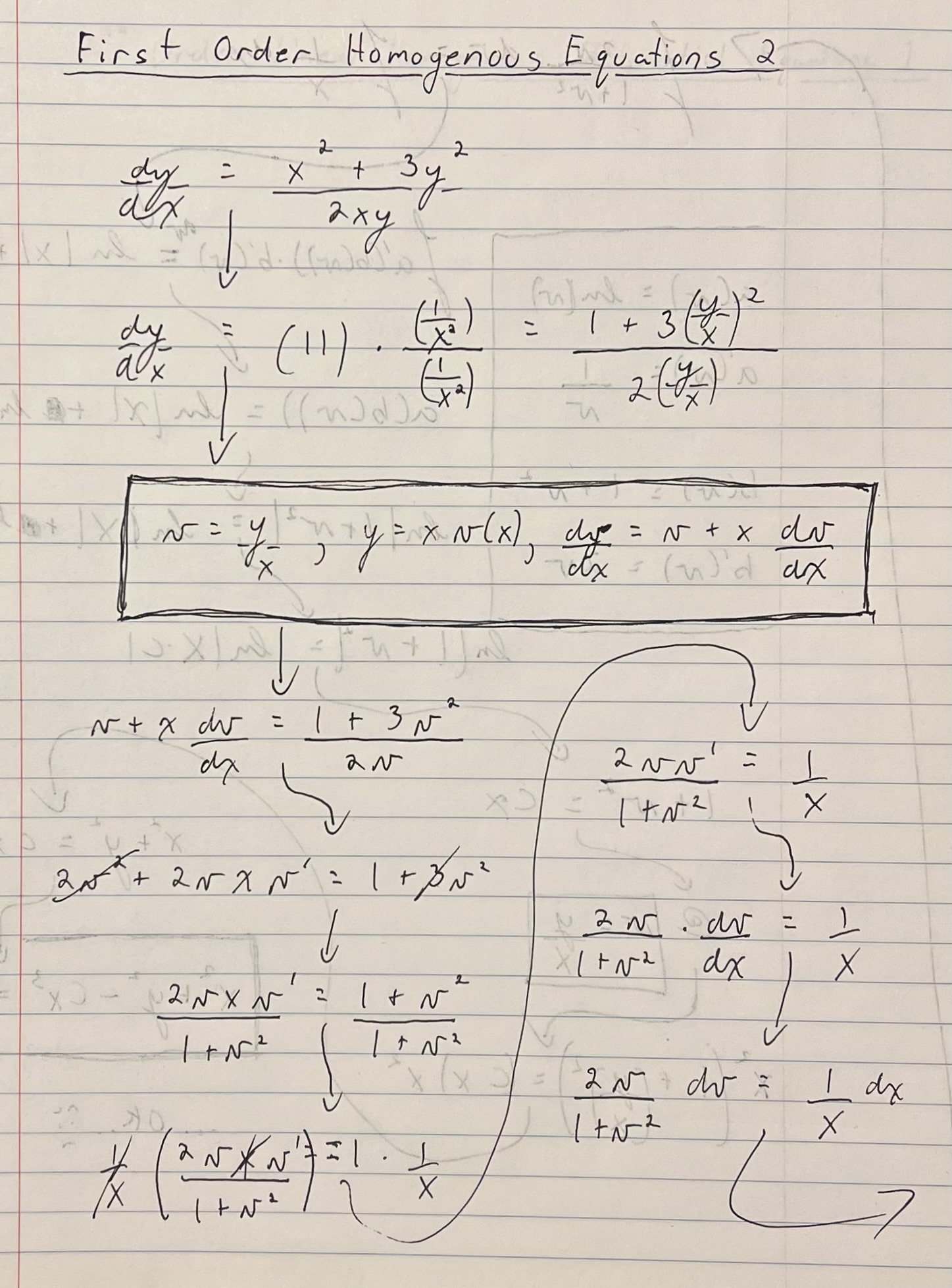
Video 5 – First Order Homogenous Equations 2




This video was the last video in the unit and was just another example of a first order homogenous equation. The reason (I think) why it’s called a FIRST order H.E. is because there’s only a single derivative in the equation. If there’s a double derivative or more, that’s when you get into what’s called a second order homogenous equation. The reason why I know this is the case is because in the sixth video I watched this week, which I didn’t make notes on, Sal introduced second order homogenous equations and it went completely over my head. The first four videos in this unit look like they’re a set that all explain 2nd order H.E.’s, so my plan is to rewatch that first video at the start of this upcoming week along with the three other videos, and try to watch them back-to-back-to-back-to-back to hopefully understand how 2nd order H.E.’s work. (If I can manage to get through all four vids on Tuesday, I would be PUMPED. 🤞🏼)
And that was all I managed to get through this week… Not great to be honest, BUT I’m now only two units away from finishing off Differential Equations. 👍🏼 This unit that I’m now in only has 13 videos (😳) so I’m hoping to get through it pretty quickly. If I could get through it in two weeks (which I definitely this is possible), that would be fantastic. I doubt that I’m going to understand everything, so I may need to branch out and watch some videos from other creators so I don’t feel too terrible about getting through the course without completely understanding everything… To be fair, when I’ve finished most courses I haven’t understood everything, but then I would also be starting a NEW course which would require me to go back and review the material I worked through in the previous course and would end up more-or-less figuring it out. Since this is the final course in the Math section, I won’t be able to do that this time. So, I feel like I should do my best to try to really understand what Sal’s talking about in these final two units, however I’m also REALLY ready to move on to physics… So I’m not sure what to do. In any case, I’m getting so close to the end I feel like I can TASTE the light at the end of the tunnel! Soon, this five-and-a-half-year endeavour will be behind me. I really hope Physics doesn’t take as long. 😰