I had a good start to on KA this week but a bad finish. 👎🏼 I made it through one of the four remaining unit tests in AP College Statistics and probably should have made it through a second but unfortunately came up short. The second unit test I worked on was from the ninth unit, Sampling Distributions, which had exactly the type of math I was worried about coming back to statistics. The questions all have a bunch of little formulas and different terms I need to memorize and none of which I have a great understanding of why they work. I had a super busy end to my week and wasn’t able to put enough time into that test which I was mainly why I didn’t get through it. I’m fairly confident I’ll be able to get through it early this coming week, so I’ve got that going for me which is nice. So, all in all, I’d give myself a C+ for this week. It could have been better, but could have been worse. 🤷🏻♂️
The first unit test I got through was from Unit 8, Random Variable and Probability Distributions. This test had 17 questions on it and I finished it off on Wednesday which I was pretty happy about. The questions weren’t too hard but, again, there were a handful of terms/concepts I needed to review and memorize which took me a bit of time. Here are five questions from the test:
AP College Statistics – Unit 8 – Unit Test – Random Variable and Probability Distributions
Question 1




I’m not really sure why I bothered taking screenshots/notes on this question. As you can see, it’s a pretty straightforward question on probability where you just multiply the probabilities of each outcome in the four possible combinations, summing the two N*D and D*N outcomes. Not much else to talk about…
Question 2





This is the type of question that isn’t “hard” but since I’m rusty on stats, I initially couldn’t remember how to solve it. I got it correct but only because just before answering this one, I’d seen the exact same type of question right before (which I got wrong) and so I knew what to do. To be fair, I did remember that you simply add the means of the distributions but didn’t remember that you have to square the standard deviations and add their variances.
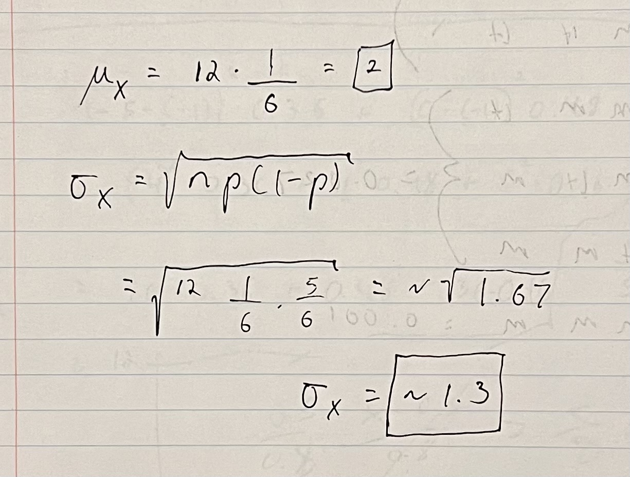
Question 3



Again, the only reason why I knew what the formula was for the standard deviation of a binomial random variable was because I’d gotten a question just like this one wrong 10 minutes before answering this one… I watched a video explaining the formula but it didn’t help me understand why this formula is used. It seems like there are a million different formulas for SD, all of which are similar and none of which I really understand the “why” behind why they work. ☹️
Question 4



I had the formula for this question fresh in my memory when I answered this question. Again, it’s obviously not that hard simply plugging everything into the formula once you know it, but I’d never be able to solve this question on my own if I hadn’t had it memorized. 😔
Question 5


I actually didn’t look anything up or review anything about before answering this question and managed to remember that although you subtract the mean of the distributions from each other, you still add the variances, so I ended up getting it correct. I was annoyed, however, that I (again) didn’t understand why this is the case, so I watched a video on it that said it would help me understand the intuition behind it, but unfortunately it didn’t. 😒 I’m pretty sure that it has something to do with the distributions spreading out further even though you’re finding the difference between the means and, assuming that’s actually true, I can sort of visualize it, but not really. 👎🏼
I had a few attempts at this unit test on Tuesday and then managed to get through it on my first attempt on Wednesday. I started the following unit test from Sampling Distributions on Thursday but only spent around 2 hours working on it for the remainder of the week. I’m not thrilled with my lack of effort to getting through it but, as I said, I was pretty busy this weekend working on CK and also my other actual job, so that was the main reason why I didn’t get through it. But nonetheless, here are three questions from the test:
AP College Statistics – Unit 9 – Unit Test – Sampling Distributions
Question 6



I had written down the formula for this type question when I was working through the Course Challenge, so I thought I was going to get it correct, but then I inputted the wrong values into the formula… Once again, I don’t know why this formula works so I watched a video on it but all the video did was explain how it works. The only thing I really learned was that it relates to the formula for the SD of a binomial variable which is √(np(1 – p)) except the n’s cancel out which ends up being:
- √(np(1 – p))/n
- = √(np(1 – p)/n2)
- = √(p(1 – p)/n)
Question 7


This question was SUPER easy for me. 😁 (Because I had the formula memorized but I don’t understand why the formula works…)
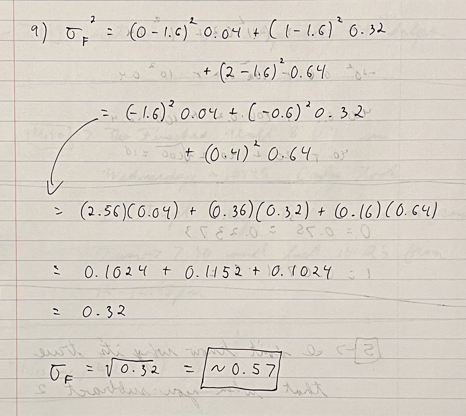
Question 8




I got this question wrong because I used a different SD formula and not the formula for the standard deviation of a sampling distribution… Like I said, there are WAY TOO MANY different SD formulas for me to keep track of! 😠 I don’t even know why the basic SD formula works the way it does, let alone all the other variations. I think it has something to do with finding the squared distance each data point is away from the line of regression, but I’m not actually sure about that. I’m thinking it would probably be a good idea for me to start this coming week watching a few videos by other creators on the standard deviation which I think might help me get a better handle on all the other SD formulas and could hopefully (🤞🏼) help me understand why each one works the way it does.
And that was it for this past week. I have three more unit tests to get through before I can have another go at the Course Challenge. Part of me wants to spend some time actually trying to grasp the why behind so much of what’s being taught, but the problem is there are SO many different concepts in stats, all of which are closely related and blur together in my mind. But doing so would probably increase my odds of getting ≥90% on the Course Challenge if I learn the intuition behind everything instead of just purely trying memorize it all, so I probably should. Either way, I’m hoping I can get through at LEAST two unit tests this coming week, if not three, so that I can have another go at the Course Challenge the following week. So, as always, fingers crossed I have a productive week so I can make it happen! 🤞🏼